가짜연구소 5기 멀티태스크메타러닝-초읽기 아카데믹 러너 활동을 통해 위의 강의를 듣게 되었습니다.

 

 해당 스터디 활동의 조건은, 스터디에 참여하지 않은 사람들도 공부를 함께 할 수 있도록 하는 것이 원칙 중 하나기에, 스터디 과정 내 요약한 강의 요약본을 포스팅하게 되었습니다. 부족한 점이 있겠지만, 재미있게 봐주시면 감사하겠습니다!

 

Editor: 백승언

강의 슬라이드 링크: http://cs330.stanford.edu/fall2020/slides/cs330_intro.pdf

강의 링크: https://www.youtube.com/watch?v=0KWT9wIYoF8&list=PLoROMvodv4rOxuwpC_raecBCd5Jf54lEa

 

목차

  Ice braking

  Plan for lecture

  What is task?

  Critical assumption

  Informal problem definition(multi-task & meta learning)

 

Ice braking

첼시 핀 교수님께서 강의를 계획.

 multi task rl, hierarchical rl, skill discovery등을 연구한 구글 브레인의 Karol Hausman이 강의에 연사로써 참여

 

 해당 강의를 개강 하게된 이유 ⇒ multi-task learning과 meta-learning이라고 하는 기술들이 실제 세상에 영향을 많이 줄 수 있고, 중요하기 때문

 ex) youtube의 recommender system의 경우, multi-objective learning이 적용되었다고 함.

 

Plan for lecture

 multi-task learning , meta learning 등 deep learning technique을 강조한 뒤에, RL domain을 주로 다룰 예정이라고 하심. (6 lectures), AutoML 등은 이번 강의에서 다루지 않을 예정이라고 하심.

 

 why multi-task learning and meta-learning?

첼시 핀 교수는 agent들에게 breadth of skill을 학습할 수 있게 하는 연구를, 계시던 랩실에서 많이 했다고 하심.

robot 관련된 수행한 연구들에 대해서 설명해주심

 

 why robot?

Robot은 우리에게 intelligence가 무엇인지 가르쳐 줄 수 있다고 함.

 그들은 real world에 맞서서 task, object environments를 일반화할 수 있어야 하고, 또한 common sense에 대해 이해해야 동작을 잘하기 때문 등등이라고 함.

 

 첼시 핀 교수는 UC 버클리에서 robot을 가지고 연구를 했다고 하심. 비행기 조립하는 로봇을 연구했던 영상, red block을 큐브 안에 넣는 영상 등을 보여줌.

  •  그것 외에도, 문을 열거나, puck을 목표 지점으로 보내거나, atari game등등을 강화 학습이 해결할 수 있음에 대해서 소개해줌

 

 하지만, 이러한 알고리즘들은 조금 문제가 있다고 하며, 그것은 one task in one environmtn and starting from scratch라고함.

  •  만약 로봇한테 새로운 bowl을 주거나, 새로운 spatula를 주면, 로봇은 아무것도 못 한다. 처음부터 다시 학습해야 한다 라는 얘기를 함.
  • 또한, puck의 시작 위치나 goal 위치를 바꾸면 안 된다는 얘기도 함.

 

 그래서, 조금 더 general한 robot을 만들고 싶었다고 하며, 이러한 문제는 비단 RL의 문제는 아니고 machine translateion, speech recognition, object detection에서 또한 발생하는 문제라고 하심.

 

 첼시 핀 교수는 single env에서 single task를 해결하는 AI를 specialist라고 부르신다고 함.

또한, 교수님의 목표는 사람처럼 일반적인 skill, behavior를 다양한 환경에서 해결해내는 그런.. 것이라고 함. 이를 generalist라고 부르심. (영상은 아기가 single env에서 이것저것 다양한 behavior를 하는 것입니다!ㅋㅋㅋ)

=> 이 강의에서는 이러한 generalist AI system을 building하는 것을 주제로 한다고 하심.

 

 Why should we care about multi-task & meta-learning?

Deep learning의 deep이라는 토픽에 대해 얘기를 하며..

 

 2000년대 중반에는, CV 내에서, common techniuqe이 hand feature engineering이었다는 것과, 2012년에는 more modern AI system이 나왔으며, 이때 end-to-end task가 나왔다는 얘기를 꺼내심.

  •  deep learning은 unstructured input을 다룰 수 있도록 해주었다고 하며, 엄청나게 많은 domain knowledge를 어느 정도 덜 생각해도 되게끔 해주었다고 하심.
  • 2011~2016까지의 deep learning for OD(including AlexNet)에 대한 얘기를 하심.
  • google의 딥러닝 기반 Neural machine translation에 대한 얘기도 하심.

 

 그러면 왜 multi-task learning이고 왜 meta learning인가?

 물론 많고 다양한 데이터가 있으면 borad generalization이 되는 것이 맞다. 하지만, medical image, rare language 등에서는 많은 데이터가 있는가? 에 대한 질문을 던지심

 

 이런 몇 없는 데이터 혹은 long-tail 분포를 가지는 data에서 의미 있는 AI를 만드는 것은 어렵다는 얘기를 하심.

 

 그러면 왜 연구자들이 something new를 빠르게 학습하는 것이 필요한 것인가?

  • about a new person, about a new env, new task…?

 Braque와 Cezanne의 그림을 여러 개 보여주며, 오른쪽의 그림이 누가 그린 것인지 맞출 수 있겠냐고 여쭤보심 ⇒ 저는 세잔으로 골랐습니다.

 이게 바로 few shot learning이라고 하심. oh ho! 이는 이전의 경험 혹은 지식에서 빌려와서 우리가 6장만 보고 판단한 것이므로.

 

What is task?

 task는 dataset과 loss function이 주어져 있을 때, loss function을 최소로 하는 모델을 뽑을 때 그것을 task로 현재는 부르겠다고 하며, task는 다양할 수 있다는 얘기를 함.

 

Critical assumption

 multi-task and meta learning 관점에서의 배드 뉴스로, 각기 다른 task들이 structure를 공유해야 한다는 얘기를 하심. 이는 또한 굿 뉴스이기도 하다는 얘기를 하심.

  • e.g.) 뚜껑 따는 행동은 매우 비슷하다!
  • 이 task들이 보기에는 관계가 없어 보이더라도, 비슷하다. 여러 도메인에서 이와 유사하게 비유를 해서 얘기를 해주심.

 

Informal problem definition(multi-task & meta learning)

 multi-task learning problem은 각각의 task를 개별적으로 학습하는 것에 비해 빠르고 능숙하게, 모든 task들을 배우는 문제라고 함.

 meta learning problem은 previous task들에서 data/경험이 주어지면, 새로운 task를 빠르게 그리고/또는 더 능숙하게 학습하는 문제라고 함.

 

해당 강의는 이러한 문제들을 어떤 방법이든 해결하는 것에 대해 배우는 것!

 

Doesn’t multi-task learning reduce to single-task learning?

그냥 dataset 다 합치고 loss function 다 합치면 되는 것 아니냐~!

⇒ 그렇다! 물론 그렇게 하면 된다.

⇒ 그러나! 우리는 더 잘할 수 있다. 더 좋은 알고리즘을 개발할 수도 있고, 쨌든 그렇다.

 

 meta learning은 기존의 지식/데이터를 기반으로 새로운 task를 빠르고 능숙하게 해내는 것이라고 하면, multi-task learning은 동시에 여러 태스크들을 하는 것이라고 설명하심.

  •  이때 meta learning은 task별 single model/parameter들을 저장하고 접근하는 방식으로 해도 되고 등등 여러 직관에 대해 설명해주심

 

 Why should we study multi-task learning and meta-leaning?

 multi-task learning은 1990년 Caruana 교수님으로부터 아이디어가 나왔다고 합니다.

  • multi-task inductive transfer learning에 대한 아이디어를 생각했다고 하심

 1998 세바스찬 스런 교수님도 어떻게 사람이 정확히 task를 generalize 하는가 즉, few-shot learning에 대해 고민했으며, 이것은 이전의 유사한 경험들을 통해 exploit 할 수 있다 라는 골자의 연구를 했다고 하심

 

 Sami Bengio교수님은 1992에 새로운 태스크를 푸는 것을 학습하는 것에 대한 가능성을 연구했다고 하네요

 

 이렇든 연구자들은 multi-task learning과 meta-learning에 대해서 옛날부터 생각을 해왔다고 합니다..!!

 

 또한, 이러한 알고리즘들은 ML research에서 근본적인 role을 계속 이어가고 있다고 합니다.

  • 예를 들면, multilingual machine translation, one shot imitation learning in robot, sim2 real transfer larning 등등
  • next lecture에서 더욱 자세히 말할 google의 multiple objective function들을 최적화한 youtube의 recommender system 등.

 

 더욱이, multi-task learning, meta learning은 ML research에서 점점 더 중요해지는 역할을 맡게 될 것이라고 얘기합니다. 그러면서 search, 인용수 들이 점점 늘어나고 있다는 얘기를 하셨습니다.

 

 또한, 이러한 알고리즘들은 deep leaerning의 democratization에서도 중요한 역할을 할 것이라는 말씀을 하셨습니다.

  •  예를 들면, ImagaNet, WMT14 Englesh-French 등등은 엄청난 데이터셋을 요구로 하는데, 대조적으로 실제 세상에서 필요로 하는 몇몇 예제는 그만큼의 데이터를 제공할 수 없기 때문을 지적하며 설명했습니다.

 

 하지만 이 분야는 아직도 많은 질문들과 어려운 점들을 가지고 있다고 합니다. 이후 강의에서 얘기해 주실 듯하네요!

 

혹시나 끝까지 봐주신 분이 계시다면, 봐주셔서 감사하다는 말씀을 드리며 마무리 짓겠습니다!

가짜연구소 5기 멀티태스크메타러닝-초읽기 아카데믹 러너 활동을 통해 위의 논문을 읽게 되었습니다.

노션을 복붙 해오니 영 마음에 들진 않지만..! 제가 주로 다루는 분야가 아니기에, 가볍게 정리하는 느낌으로 가져가볼까 합니다.

 

Universal Language Model Fine-tuning for Text Classification

Abstract

  •  Inductive transfer learning은 CV에서 많은 impact를 주어 왔으나, NLP에서 많이 연구가 되지 않았음을 지적. 또한, task-specific한 modification이나 training from scratch가 필요했음을 언급.
  • 이에 저자들은 any task in NLP에 적용이 가능한 효율적인 transfer learning 기법인 Universal Language Model Fine-Tuning(ULMFiT)를 제안함. 그리고, language model을 fine tuning 하기 위한 핵심 기법을 소개함.
  • 저자들의 기법은 6개의 text classification task들에서 SOTA를 상당히 뛰어넘는 성능을 보여주었다고 함.
  • 뿐만 아니라, 단 100개의 labeled example 만으로, 백배 많은 data를 training from scratch한 것보다 좋은 성능을 보여주었다고 함.

 

Introduction

 Inductive transfer learning은 CV에서 많은 impact를 주어 왔다고 함. OD, classification, segmentation등 다양한 도메인에서, trained from scratch는 매우 드물다고 함. ImageNet, MS-COCO등으로 pre-train된 모델을 보통 사용하기에.

 

 NLP의 범주 중 하나인 text classification task는 spam, fraud and bot detection, emergency responce and commercial document classification 등등을 다룬다고 하는 것 같음.

 

 DL model들이 많은 NLP task들에서 SOTA를 성취해 왔음에도 불구, 이러한 모델들은 많은 데이터셋과 함께, scratch로부터 학습을 해왔다고 함.

 

NLP 도메인에서의 연구는 주로 transductive transfer에 초점을 두었다고 함. Inductive transfer 영역에서는 fine-tuning pre-trained word embedding 등의 model의 first layer만을 타겟으로하는 간단한 transfer technique많이 연구되어 왔다고 하는 것 같음.

 

 최근의 different layer의 input으로 다른 task로부터 유도된 embedding을 concatenate 하는 접근들은 아직도 main task model은 scratch부터 학습을 해야 하고, pretrained embedding들은 그것의 유용성이 제한되는, fixed parameter로 다뤄야 했다고 함.

 

 pretraining의 이점이 빛을 발하기 위해, 연구자들은 random 초기화보다 더욱 좋게 할 수 있어야만 한다?? 고함.

그러나, inductive transfer via fine-tuning은 NLP에서 성공적이지 못해 왔다고 함. 이전 연구 언급

 

 LM(Language Model)들은 small dataset에 오버피팅 되기도 하며, classifier와 함께 fine-tune 될 경우, catastrophic forgetting을 겪기도 한다고 함.

  • Compred to CV, NLP model들은 조금 더 shallow 하고, 그래서 조금은 다른 fine-tuning 기법들을 요구한다고 함
    • 저자들은 이러한 이슈들을 해결할 수 있고, 강건한 inductive transfer learning을 할 수 있는, ULMFiT라고 하는 새로운 기법을 제안한다고 함.
  • IMDB에서, 100개의 labeled example들과 함께, ULMFiT는 10배 이상의 training from scratch와 맞먹는 성능을 보여주었다고 하며, unlabeled data로 학습을 할 시에는 100배 이상의 성능을 보여주었다고 함.
  • Contribution
    • NLP의 any task로 CV 처럼 transfer learning 할 때 사용할 수 있는 ULMFiT를 제안
    • previous 지식을 유지하면서 새로운 기법을 배우고, fine tuning 동안 catastrophic 망각을 회피하기 위해, discriminative fine-tuning, slanted triangular learning rates, and gradual unfreezing등을 제안.
    • 6개의 text classification 과 관련된 majority dataset들에서 SOTA를 상당히 뛰어넘는 성능을 보여주었다고 함.
    • 제안된 기법이 굉장히 sample efficient transfer learning이라는 것을 보여주고, 광범위한 ablation study를 수행했다고 함
    • 저자들은 pre-trained model들과 코드를 공개함 멋지다…

 

Related work

  • Multi-task learning

 해당 접근법은 Rei, Liu등이 제안했으며, language modeling objective를 main task에 추가하는 방식으로 이루어졌었다고 함.

 MT learning은 매번 scratch로부터 훈련이 되어야 하는 task들을 필요로 한다고 하며, task-specific objective function의 weight들을 신중히 정해야 하는 비효율 적인 과정이 종종 필요하다고 함

 

  • Fine-tuning

 Fine-tuning은 similar task사이에 transfer를 성공적으로 하기 위해 사용되어 왔다고 함. 예를 들면 Min et al의 QA, severyn등의 distantly supervised sentimental analysis or MT domain 등을 언급.

 또한, Dai and Le도 LM을 fine tune 했다고 함. 그러나, 굉장히 많은 데이터셋을 필요로 했다고 함. 대조적으로, ULMFiT는 general-domain pretraining을 leverage하며, small dataset만으로 SOTA를 달성했다고 어필함

 

Methodology

 저자들은 NLP를 위한 inductive transfer learning에 흥미가 있다고 합니다. static source task $T_S$와 target task $T_T$가 주어졌다고 할 때, 저자들은 $T_T$의 성능을 개선할 것이라고 합니당.

 

 LM은 ideal source task로 보고 있다고 하며, CV에서의 ImageNet에 대항할 수 있는 task로 간주한다고 하는 것 같습니다.

이는 long-term dependencies, hierarchical relations, and sentiment 등의 언어 관련된 downstream task의 많은 측면을 capture할 수 있다고 말하는 것 같습니다.

 

 MT혹은 entailment와는 대조적으로, 제안하는 기법은 거의 무제한의 quantities for most domains and languages에를 제공한다고 함. 추가적으로, pretrained LM은 target task의 성능이 상당히 개선되는, 특이점에 쉽게 다다른다고 설명함.

 

 더욱이, LM은 Machine translation, dialogue modeling 같은 기존의 task들의 key component라고도 하는군용

공식적으로, LM은 많은 다른 NLP task들에 유용한, 가설 공간 H를 유도해낼 수 있다고 서술한 다른 논문들을 인용.

 

 저자들은 large general-domain corpus에서 pretrain하고, 새로운 기법을 사용해 target task에 fine-tune하는 ULMFiT를 제안했다고 함

이 기법은....!!

1) 다양한 document size, number and label type을 다루는 task들에 대해 동작하며

2) single architecture and training process를 가졌으며,

3) custum feature engineering or processing을 필요로 하지 않으며,

4) additional in-domain documents or label을 필요로 하지 않아, universal이라는 이름을 사용했다고 합니다.

 

 저자들은 또한, 백본 모델로 SOTA language model인 AWD-LSTM을 사용했다고 합니다. (a regular LSTM(no attention, short-cut connections) with various tuned dropout hyperparams)

 

 CV와 유사하게, 저자들은 미래에 NLP downstream task performance가 high-performance LM을 사용해서 향상되기를 기대한다고 합니다. 응?

 

ULMFiT는 1) General-domain LM pretraining 2) target task LM fine-tuning 3) target task classifier fine-tuning의 단계로 구성되어 있다고 합니다.

 

General-domain LM pretraining

ImageNet-like corpus for language는 거대해야 하며, language의 general property들을 capture해야 한다고 합니다.

그래서, 저자들은 28595 preprocessed wikipedia article들과 103 million words로 구성된, Wikitext-103에서 LM을 pretrain시켰다고 합니다.

pretraining은 small dataset을 가지는 task들에게 있어서 굉장한 이점이 있으며, 심지어 100개의 example만으로도 일반화를 할 수 있게 해 준다고 합니다. 하지만 비용이 매우 비싸기 때문에, 딱 한 번만 수행되면 좋다고 합니다.

Target task LM fine-tuning

pre training에 쓰인 general-domain data가 아무리 diverse하더라도, target task의 data는 다른 분포로부터 올 가능성이 있다고 서술. 그래서, 저자들은 target task의 data에 LM을 fine-tune했다고 합니다.

pretrained general-domain LM이 주어지면, 이 단계에서는 target data의 특이점에만 빠르게 적응하면 되므로, 수렴이 빠르다고 합니다. 그리고 이 과정은 small dataset에 robust한 train을 할 수 있도록 해준다고 합니다.

이때, 저자들은 뒤이어 설명할 discriminative fine-tuning and slanted triangular learning rates for fine-tuning the LM을 제안했다고 합니다.

 

  1. Discriminative fine-tuning

different layer들이 다른 타입의 정보를 capture 함에 따라, 그것들은 different extents에 fine-tune되어야 한다고 서술. 그래서, 저자들은 discriminative fine-tuning이라고 하는 새로운 기법을 제안했다고 합니다.

모델의 모든 layer들에 대해 같은 learning rate를 사용하는 대신에, discriminative fine-tuning은 각 레이어가 다른 learning rate들로 tuning되게끔 한다고 합니다.

SGD update에 따라 $\theta$를 업데이트한다고 할 때, 특정 time t에서

가 되는데, 이때 discriminative fine-tuning에서는 $\theta$를 $\{\theta^1, ... , \theta^L\}$ 요롷게 나누다고 합니당.

마찬가지로, learning rate eta역시 $\{\eta^1 , ... , \eta^L\}$ 요롷게 나눠진다구 하네용. 또한, 경험적으로 다음과 같이 설정했더니 잘 동작했다고 합니다.

 

  2. Slanted triangular learning rates

 제안하는 model의 parameter들이 task-specific feature에 adapting하게 하기 위해, 저자들은 model이 훈련 초기에 적절한 영역으로 빠르게 수렴한 다음, refine할 수 있도록 했다고 합니다.

 

 same learning rate를 사용하거나, annealed learning rate를 훈련하는 동안 사용하는 것은 이를 위한 best way가 아니었다고 합니다.

   ⇒ 대신에, 저자들은 STLR이라고 하는, 선형적으로 증가하다가 선형적으로 감소하는, 다음과 같은 schedule을 가진 STLR을 제안했다고 합니다.

 이때, T는 num of training iteration이며, cut_frac은 삼각형의 꼭짓점 위치인 것 같습니다. p는 얼마나 증가시키고 감소시킬 것인지에 대한 친구이며, ~~ 이때 저자들은 cut_frac을 0.1로, ratio를 32로, n_max를 0.01로 정했다고 합니다.

 

 SLTR은 triangular learning rates(Smith, 2017)을 short increase and a long decay period로 수정한 버전이며, 저자들이 좋은 성능을 얻기 위한 key였다고 합니다. CV에서도 Loschilov and Hutter 2017의 논문에서 유사한 스케쥴링을 했다고 합니다. (aggressive cosine annealing)

 

    3. Target task classifier fine-tuning

 또한, classifier를 fine-tuning 하기 위하여, 저자들은 pretrained LM에 두 개의 additional linear block들을 추가하였다고 함.

다음의 CV classifier의 standard practice에서는 각 block이 batch norm과 dropout with ReLU activations for the intermediate layer를 사용했고, last layerdml 각 출력 확률에 대해서는 softmax activation을 사용했다고 하네용.

 

 이러한 task-specific classfier layer들의 parameter들은 scratch로부터 학습이 된 유일한 친구라고 하며, 첫 번째 linear layer는 last hidden layer state들을 pool해서 사용했다고 합니다.

 

3-1. Concat pooling

 text classification task의 signal은 종종 few work들을 포함하고 있다고 하며, 이 친구들은 document 어디에서나 있다고 함. 입력 문서는 hundreds of words들로 이루어져 있으며, 만약 저자들이 last hidden state of the model만을 고려한다면, 정보는 get lost 될 수 도 있다고함.

 

이러한 이유로, 저자들은 document의 last time step $h_T$에서의 hidden state를 concat했다고 합니다.

 

3-2. Gradual unfreezing

 Fine-tuning the target classifier는 transfer learning 기법에서 가장 중요한 부분이라고 합니다. 너무 공격적인 fine tuning은 catastrophic forgetting을 야기할 수 있고, LM이 capture한 정보의 이점을 잃게끔 할 수도 있다고 합니다.

 

 그렇다고, 너무 신중한 fine-tuning은 slow convergence를 야기할 수 있다고 합니다. 게다가, discriminative fine-tuning and triangular learning rates를 이용하기 때문에, 저자들은 gradual unfreezing이라는 것을 제안했다고 합니다.

Gradual unfreezing ⇒ 모든 layer를 한 번에 fine tuning하는 것이 아니라, 점진적으로 model을 unfreeze하는 방식. 최소 정보를 가지는 last layer를 시작으로 한 layer씩 unfreeze! 한 epoch당 하나의 layer를 unfreeze하는 식으로 한다구 하네용. 이는 chain-thaw 라는 Felbo et al 2017과 유사하다고 합니다.

 

3-3. BPTT for Text Classification (BPT3C)

 LM은 BPTT를 통해 학습이 된다고 합니다. 그런데 large document에서의 classifier fine-tuning을 가능하게 하기 위해, 저자들은 BPT3C를 제안했다고 합니다.

 

 저자들은 document를 각 fixed length batches of size b로 분할하고, model의 hidden states를 previous batch의 final state로 초기화하는 방식을 사용했다고 하네요. mean, max pooling도 그대로 keep track했다고 합니다.

 

3-4. Bidirectional LM

 기존의 연구와 유사하게, 저자들은 해당 LM을 unidirectional 으로 제한하지 않고, forward and backward LM 모두를 pretrain 했다고 합니다.

 

Experiments

 저자들의 접근은 sequence labeling task들에 적용이 가능하지만, 저자들은 실제 세상의 적용을 위해 중요한 태스크인 text classification task에만 신경을 조금 써봤다고 합니다.

 

4.1 Experimental setup

Datasets and tasks ⇒ 저자들은 많이 연구되어온 6개의 dataset들을 이용했다고 함. 이는 SOTA text classification and transfer learning 기법들인 Johnson and Zang 2017, McCann et al 2017에서 사용했다고 하는 것 같음.

task는 sentimental analysis, question classification, topic classification이라구 하네용

 

  4.1.1 sentimental analysis

IMDB dataset의 binary movie review, binary and five-class version of the Yelp review dataset

 

  4.1.2 Question classification

six-class version of the small TREC dataset

 

  4.1.3 Topic classification

large-scale AG news and DBpedia ontology datasets

 

 Pre processing은 기존 Johnson and Zang, McCann et al과 동일하게 사용했다고 하며, HyperParam은 Merity et al의 AWD-LSTM 모델을 사용했다고 하는 것 같습니다. 특이한 점은 Adam에서의 beta 1 을 0.9 ⇒ 0.7을 썼다는 것 정도가 있을 것 같네용.

  ⇒ 모든 dataset에 대해 hyper param은 고정했다고 합니다.

 

 Baseline으로는 IMDb, TREC-6에서는 CoVe(McCann et al)를 선정하였고, AG, Yelp, DBpedia에서는 Johnson and Zang의 기법을 선정해서 비교를 수행했다고 합니다.

 

4.2 Results

error rates를 metric으로 하여 비교한 결과, 모든 데이터셋에서 꽤나 좋은 성능을 얻어냄. IMDb에서는 43.9% 정도로 에러율을 개선하는 정도.

 

Analysis and Ablation stydy

Impact of pretraining

pretraining을 하면 성능이 훨씬 좋다!

 

Impact of LM quality

LM으로 vanilla LM 말고, AWD-LSTM LM 사용한 것은 유효했다!

 

Impact of LM fine-tuning

Full 이라고 하는 fine-tuning 이전의 성능과 이후 성능 차이도 물론 차이가 나지만, discriminative learning rates, STLR 모두 유효했음을 보여줌

 

Impact of classifier fine-tuning

 from scratch, fine-tuning full model(’full), fint-tuning last layer(’last’), chain-thaw, gradual unfreezing (’freeze’) 등등의 효과를 확인. ‘Discr’, ‘Stlr’ 등의 효과를 확인 추가적으로, Strl을 떠올림에 있어서 영향을 받았던 aggressive cosine annealing schedule (’Cos’)도 적용해봄.

 

 그 결과, 제안하는 기법이 좋은 효과를 얻는다는 것을 보여줌. (over engineering 한 만큼 성능의 이점을 얻음을 보여준 느낌)

 

Classifier fine-tuning behavior

 저자들은 모델의 fine-tuning behavior를 조금 더 잘 이해하기 위해, fine-tung 하는 과정에서 ULMFiT와 ‘Full’의 validation error를 비교하는 실험도 수행했다고 하네용. 모든 dataset에서 fine-tuning the full model은 lowest error를 초기에 부여 주었다고 합니다.

 

 그다음, full model의 erorr는 model이 overfitting을 시작함에 따라 증가하였고, pretraining으로 capture했던 지식이 슬슬 잊혀졌다고 합니다.

 

 이와 대조적으로!! ULMFiT는 fine-tuning 과정 중에서도 performance가 유지되는 것을 볼 수 있었다고 합니다. 신기하네요.

Impact of bidirectionality

forward and backwards LM classifier를 사용할 경우, 0.5~0.7의 성능 향상이 있었다고 함. IMDB에서는 5.30에서 4.58까지 test error를 크게 줄였다고 보고함.

Discussion

저자들이 ULMFiT가 SOTA 성능을 달성한다는 것을 보여주었다고 함. 저자들은 LM fine-tuning은 기존의 transfer learning 접근들에 비교하면 꽤나 유용할 것이라고 믿는다고 함. 특히 a) NLP for non-english languages, b) new NLP tasks where no SOTA architecture exists c) limited amounts of labeled data가 있는 태스크들

transfer learning and 특히 fine-tuning for NLP가 under explore되어 있는 상황에서, 많은 미래의 연구 방향들이 가능할 것 같다고 함.

LM은 또한 multi-task learning fashion 혹은 enriched with additional super vision e.g. syntax-sensitive dependencies to create a model에 유효할 것이라고 함.

Conclusion

 저자들은 ULMFiT라고 하는, 어떤 NLP task에도 적용이 가능한, 효과적이고 극단적으로 sample 효율적인 transfer learning method를 제안했다고 함.

 

 또한, 저자들은 catastophic forgetting을 방지하기 위한, 그리고 다양한 range의 task들에 대해 강건한 학습이 가능한 몇몇 새로운 fine-tuning technique들을 제안했다고 함

 

 저자들의 기법은 기존의 transfer learning기법의 성능을 상당히 뛰어넘었으며, 6개의 표현적인 text classification task들에 대해서 SOTA를 달성했다고 합니다.

 

Appendix

가짜연구소 5기 멀티태스크메타러닝-초읽기 아카데믹 러너 활동을 통해 위의 논문을 읽게 되었습니다.

노션을 복붙 해오니 영 마음에 들진 않지만..! 제가 주로 다루는 분야가 아니기에, 가볍게 정리하는 느낌으로 가져가볼까 합니다.

 

Multi-Task Learning Using Uncertainty to Weight Losses for Scene Geometry and Semantics

Abstract

  • 다양한 딥러닝 application들은 multi-task learning으로부터 이점을 얻을 수 있다.
  • 이 논문에서, 저자들은 이러한 system들의 성능이 각 task들의 loss 사이의 상대적 weighting에 강하게 의존한다는 것을 보여준다고 함
  • 저자들은 각 태스크들의 불확실성을 동분산적으로 고려함으로써 다중의 loss function에 weight을 줄 수 있는 접근 방법을 제공한다.
    • 이는 classification과 regression setting 모두에서, 다양한 단위와 scale을 가지는 various quantity들을 동시에 학습하는 것을 가능하게끔 한다고 함
  • 저자들은 그들의 모델이 per-pixel depth regression, semantic 그리고 instance segmentaion등을 학습하는 것을 보여주었다고 함.
    • 여기서 놀라운 점은, 저자들의 모델이 multi-task weigithing을 학습했을 뿐만 아니라, 각각의 태스크를 학습한 개별 모델 들의 성능을 outperform 했다는 것이라고 함.

 

Introduction

 Multi-Task(MT) learning은 shared representation으로 부터, multiple 목적들을 학습하여, 예측의 정확도와 학습의 효율성을 개선하는 것에 목적을 둔다고 함

 

 MT leanring은 다양한 분야에서 좋으며, 저자들은 visual scene understanding 분야에서 MT learning을 연구했다고 함.

Scene understanding은 geometry와 semantics of the scene을 동시에 학습해야만 한다고 함

  ⇒ 다른 unit, scale등을 가지는 다양한 regression, classification 문제를 학습해야 하는 흥미로운 MT learning 문제임을 강조

 

또한, visual scene understanding에서의 Mt learning은 중요한데, 그 이유는 robotics 등에서 사용될 때, long computation run-time이 금지되기 때문이라고 함.

  ⇒ 모든 task를 하나의 모델에서 하게 되면, computation time을 감소시킬 수 있을 뿐만 아니라, 이러한 시스템들이 real-time으로 동작할 수 있게 해 준다고 함

 

 다양한 task를 동시에 학습하고자 할 때의 이전의 접근법은 단순히 loss들을 weighted sum하는 방법을 사용했다고 함.

그러나, 저자들은 MT model의 성능이 각 task들의 loss사이의 weighting의 적절한 선택에 강하게 의존한다는 것을 보여주고, 이러한 manual tuning은 좋지 않다는 얘기를 함.

 

 이 논문에서, 저자들은 homoscedastic uncertainty를 이용해서, 다양한 목적함수 들을 동시에 학습하기 위한 multiple loss function들의 compining의 좋은 방법을 제안했다고 함.

 

 저자들은 homoscedastic uncertainty를 task-dependent weighting으로 번역 하고, 다양한 regression과 classification task를 균형 있게 학습할 수 있는, 주된 MT loss function이 어떻게 유도되는지를 보여주었다고 함.

  ⇒ 또한, 이렇게 weigthing들을 최적으로 학습할 수 있는 저자들의 방법은, 각 task를 individually 학습 하는 것에 비하여 더 좋은 성능을 내었다고 함.

구체적으로, 저자들은 scene geometry와 3개의 semantic task 들을 학습할 수 있는 저자들의 method를 보여주었다고 함.

  1. 저자들은 pixel level에서 object를 분류하였음 (semantic segmentation)
  2. 저자들은 instance segmentation이라고 하는, image 내에서의 각 individual object의 seperate mask를 segmenting 하는 어려운 태스크를 수행함
  3. 마지막으로, 저자들의 모델은 pixel-wise metric depth를 예측했다고 함. 이는 굉장히 어려운 태스크라고함.

 그리하여, 한 장의 monocular input image가 주어지면, 저자들의 시스템은 먼저, semantic sgmentation을 제공하고, metric depth를 추정하고, instance level을 추정한다고 함.

 다른 MT learning을 수행한 비전 관련 모델들이 보여주어 온 것과 달리, 저자들은 semantic들과 geometry를 어떻게 함께 학습하는지를 보여준다고 함.

 

 마지막으로, 저자들은 MT learning의 shared representation을 사용하는 것이 다양한 metric의 성능을 개선하는 것과, 모델을 효율적으로 학습할 수 있다는 것을 보여주었다고 함.

요악하면, 해당 논문의 key contribution들은 다음과 같다고 함.

  1. homoscedastic task uncertainty를 이용해서, 새롭고 원칙적인, 다양한 quantity들과 unit들에 대해 다양한 classification과 regression losse들을 동시에 학습할 수 있는 multi-task loss를 설계
  2. semantic segmentation, instance segmentation 그리고 depth regression을 위한 통합된 아키텍쳐를 설계
  3. multi-task DL에서의 loss weighting의 중요성을 보여주고, 어떻게 이것이 separately trained model에 비해 우수한 성능을 얻는지를 보여줌.

 관련 연구들에 대해서 언급한 뒤…

더욱 중요한 것은, 모든 이전의 기법들은 naive weighted sum of losses를 사용해서 multiple task들을 동시에 학습했다는 것에 대해서 강조.

  ⇒ 해당 연구에서 저자들은 homoscedastic task uncertainty를 이용해서, 다양한 목적함수 들을 동시에 학습할 수 있는, multiple loss funcdtion들을 combining하는 방법에 대한 원칙적인 방법을 제공하였다고 함.

 

Methodology

Multi task learning with Homoscedastic Uncertainty

  1. MT leaning은 중요하다! 단순한 접근은 each individual task에 대한 loss들의 합을 weighted linear sum 하는 것이다 라는 것을 보여줌.
    1. 또한, 다양한 이전 연구들을 인용하며, 이것이 주된 접근이었다는 것에 대해서 설명을 수행함.
    2. 이 방법은 여러 이슈가 있는데, 일단, 명백하게 모델의 성능이 weight selection에 너무 극심하게 예민하다는 것을 먼저 언급함. 또한, 이를 tuning하는 것은 너무나 비싼 과정이라고 함.

        ⇒ 그러므로, optimal weights를 학습할 수 있는 더욱 편리한 접근법을 찾는 것이 필요하다고 강조함.

 

    2. Homoscedastic uncertainty as task-dependent uncertainty

    Bayesian modeling 에서, uncertainty는 두 개의 주된 타입으로 모델링 될 수 있다고 함.

  • Epistemic uncertainty: 모델 내에서의 불확실성으로, 모델이 data의 부족으로 인해 무엇을 모르는지에 대해 알려줄 수 있다고 함.
  • Aleatoric uncertainty: 우리의 data가 설명할 수 없는 정보에 대해, 불확실 성을 capture할 수 있다고 함.
    • 이는 또한, data-dependent or heteroscedastic uncertainty와 task-dependent or homoscedastic uncertatinty로 분류할 수 있다고 함.
    • Data-dependent or heteroscedastic uncertainty: input data와 예측된 model output에 의존적인 불확실성?
    • Task-dependent or homoscedastic uncertainty: input data에 의존적이지 않은 불확실성. 이는 모델 출력이 아니라, 모든 입력 데이터에 대해 일정하게 유지되며, 다른 task들 사이에서 변하는 양. 따라서, task-dependent uncertainty라고 할 수 있다고 함

 multi-task setting에서, 저자들은 task uncertainty가 task들 사이의 relative confidence를 capture 할 수 있음과, regression or classfication task의 내재된 불확실 성을 반영할 수 있는 것을 보여준다고 함.

 

 또한, 이는 trask의 표현 or unit or measure에 의존적인 것을 보여주나 봄(중요한 듯)

저자들은 multi-task learning 문제에서 loss를 wighting 하기 위한 기초로써 homoscedastic unceretainty를 사용할 수 있음을 제안한다고 함.

  1. Multi-task lidelihoods

 저자들은 gaussian likelihood with homoscedastic uncertainty를 최대화하는 것을 기반으로 하여 multi-task loss function을 유도하는 것을 이 장에서 보여준다고 함.

 

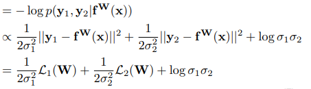
 regression task들에서, 저자들은 Gaussian with mean given by the model output으로써 likelihood를 정의했다고 함. sigma는 observation noise scalar라고 한다네요…

 

 classification task에서, 연구자들은 종종 model output을 softmax function을 통해서 squash한다고 합니다. 그리고, probability vector를 결과로부터 sampling 한다고 합니다.

 

 multiple model ouput의 경우, 연구자들은 종종 likelihood를 몇몇 충분한 통계치들이 정해질 경우, output들의 factorise로써 정의한다고 합니다. 그리고 다음과 같은 multi-task likelihood를 얻는다고 합니다.

  • In maximum likelihood inference, 저자들은 model의 log likelihood를 최대화한다고 합니다. 예를 들어 regression에서, log likelihood는 다음과 같이 서술할 수 있다고 합니다.
    • 이는 $\sigma$ 라고 하는 output들이 얼마나 많은 noise를 가지고 있는지를 capture할 수 있는 model의 obserevation noise parameter 를 표준편차로 가지는 gaussian log likelihood라고 하네요

그러면, 저자들은 model parameter W와 observation noise parameter $\sigma$를 이용해서 model에 따른 log likelihood를 maximise 할 수 있다고 하네요.

  •  Regression의 경우, 저자들의 모델의 output이 two vector $y_1$, $y_2$로 구성되어 있다고 가정하게 되면, 불확실성 p는 다음과 같이 계산할 수 있다고 합니다.

 

이는 minimisation objective L(W,sigma_1,sigma_2) for thier multi-output model을 다음과 같이 정의해준다고 합니다.

이때, 저자들은 first output variable 의 loss를 다음과 같이 사용했다고 하며, L2(W) 역시 동일하다고 합니다.

 

저자들은 위의 sigma_1, sigma_2로 이뤄진 objective를 최소화하는 것을, 데이터에 기반하여 L1(w) 및 L2(w)의 상대적 가중치를 적응적으로 학습하는 것으로 해석했다고 함.

$\sigma_1$이 증가함에 따라, L1(w)가 줄어든다는 것을 얘기함. 이와 반대로, $\sigma_1$이 감소하면, L1(w)이 증가함을 얘기함. 그런데, 마지막 항은 그와 반대로 움직임. ⇒ regularaizer의 역할을 수행

  • Classification의 경우, 조금 더 흥미롭다고 얘기함. 저자들은 classification likelihood를 softmax를 이용해 squash 했다고 함.

 이는 boltzmann distribution으로 해석할 수 있다고 함. sigma^2의 역할은 temperature. 이 출력의 log likelihood는 다음과 같이 쓸 수 있다고 함.

f^W_c(x)는 c’th element of the vector f^W(x)}라고 함.

 

  • 마지막으로, continuous output y_1과 discrete output y_2로 이뤄진 multiple output을 가정하였을 때의 손실 함수 L(W,sigma_1, sigma_2)에 대해서 알아봅시다

여기서, 마지막 term의 경우, 다음의 가정을 두어서 log(sigma_2)가 튀어나온 것이라고 합니다.

다양한 조합의 regression & classification task에서의 loss는 위의 결과들을 확장하여 손쉽게 얻을 수 있다고 합니다.

 

Scene understanding model

semantic 들과 geometry를 이해하기 위해, 저자들은 fixel level에서 regression and classification output들을 학습할 수 있는 아키텍쳐를 제안했다고 함.

저자들은 convolutional encoder-decoder network 구조를 차용했으며, encoder들은 shared representation을 만들어 내고, task-specific convolutional decoder들이 그 뒤를 따른다고 자신들의 아키텍쳐를 설명함.

그다음, 저자들은 network를 각각의 task에 대해 separate decoder들로 나누었다고 함. decoder의 목적은 shared feature로부터 output으로의 mapping을 학습하기 위한 목적이라고 함.

  1. Semantic segmentation

pixel-wise class probability를 학습하기 위해, cross-entropy loss를 사용. 각 mini-batch에서 semantic label의 pixel별 loss를 평균

 

  2. Instance segmentation

 

 regression appraoch를 사용. object parts로부터 Hough votes를 사용하여 instance들을 식별하는 [28]에서 영감을 받았다고 함. 이를 DL로 바꾼 것.

pixel’s instance i_n의 중심 포인트인 각 pixel coordinate c_n에 대해 instance vector \hat x_n을 학습하였다고 함.?? i_n=\hat x_n+c_n

 

   3. Depth regression

 

또한, 다음의 loss function을 사용해서 저자들은 pixel-wise metric inverse depth를 이용하는 supervised label을 훈련

그들의 아키텍쳐는 inverse depth $\hat d_n$을 추정하는데, 왜냐하면, 이는 하늘과 같은 infinite distance를 표현할 수 있기 때문이라고 함.

 

Experiments

Dataset으로는 CitySpaces를 활용. 이는 road scene understanding을 위한 large dataset이라고 하네용.

  • 저자들은 여러 단순한 multi-task loss들과 비교를 수행함
    • uniform weighting 의경우, 좋지 않은 성능을 보여줌
    • 최적의 weight을 근사하는 경우(hand tuning)에는 task 숫자가 많아지면 비용이 너무 올라간다는 문제가 존재.
    • 저자들이 제안한 방법은 fine-grained grid search를 통해 얻은 optimal weight에 비하여 높은 성능을 보여주었다고 함.

 

Conclusion

 저자들은 multi-task learning problem에서, 가장 중요한 것이 correctly weighting loss term이라는 것을 보여주었다고 함.

또한, 저자들은 homoscedastic uncertainty가 weight losses의 효율적인 방법임을 보여주었다고 함.

 

 저자들은 weight initialization에 robust한, data로부터 자동으로 weighting하는 것을 학습 가능한 principled loss function을 유도해 냈다고 함.

 

 저자들은 이를 이용하면 unified architecture에서 3개의 scene understanding task의 성능이 개선되는 것이 가능하다는 것을 보여줌

 

 저자들은 task-dependent homoscedastic uncertainty가 각각의 task를 분리하여 학습하는 모델에 비하여, model의 표현과 각 태스크의 성능을 개선할 수 있음을 보여주었다고 함.

 

 There are many interesting questions left unanswered. Firstly, our results show that there is usually not a single optimal weighting for all tasks. Therefore, what is the optimal weighting? Is multitask learning is an ill-posed optimisation problem without a single higher-level goal?

 

 A second interesting question is where the optimal location is for splitting the shared encoder network into separate decoders for each task? And, what network depth is best for the shared multi-task representation?

 

Finally, why do the semantics and depth tasks outperform the semantics and instance tasks results in Table 1?

 

 Clearly the three tasks explored in this paper are complimentary and useful for learning a rich representation about the scene.

 It would be beneficial to be able to quantify the relationship between tasks and how useful they would be for multitask representation learning.

강화학습 논문 리뷰 연재 여섯 번째 입니다.

 

현재 감사하게도 함께 하고있는, '로봇이 아닙니다' 팀블로그에 합류한 이후 처음으로 쓰는 연재글이다 보니 퀄리티에 신경을 쓰려고 노력했고, 그러다 보니 예상 기간보다 일주일 이상!? 늦게 글을 올리게 되었습니다.

 

강화학습, 로보틱스, 딥러닝 관련 포스팅에 관심 많으신 분들은 밑의 블로그도 한 번 들러주세요 ^^

https://ropiens.tistory.com/

 

로봇이 아닙니다.

당황했습니까? 휴먼

ropiens.tistory.com

 

 본론으로 돌아와, 이번 논문 리뷰글은 Multi-goal 강화학습, 희소 보상 환경 문제와 관련된 Hindsight Experience Replay(이하 HER)에 대한 내용으로 이루어져 있습니다. HER의 컨셉을 간단히 말씀 드리면, 사람처럼 실패를 통해 학습하여, 목표에 도달할 수 있는 agent를 설계하고 싶다! 입니다.

 

그럼, 본격적인 리뷰 시작하겠습니다!

 

 논문의 제목은 상당히 아리송 합니다. 'Hind'라는 단어에는 뒤라는 뜻이 있고, 'sight'은 보다인 see의 과거형이죠. 그래서, 'Hindsight' 이란 단순하게는 뒤를 본다 라는 뜻이라고 합니다. 다른 뜻으로는 뒤를 보아 깨닫는다라는 뜻도 있다고 합니다.

 

 그리하여, 제목의 뜻하는 바는, '경험 메모리를 통해 뒤를 보고 깨닫는 컨셉의 알고리즘' 정도로 의역할 수 있을 것 같습니다. 댓글을 통해 더욱 좋은 번역에 대해 토의를 나누길 기대합니다!

 

 목차는 다음과 같습니다.

가장 먼저, 도입부에서는, 강화학습에서 중요한 문제인 탐험과 이용의 딜레마 문제와, HER에서 해결하고자 했던 희소 보상 문제 등을 몇 몇 환경을 예시로 들어 설명드리려고 합니다.

 

 그 후, 본론에서는, HER을 더욱 잘 이해하기 위한 배경에 대해(on policy vs off policy, UVFA) 설명 드리고, HER에 대한 본 설명을 진행하도록 하겠습니다.

 

 마지막으로, HER 논문에서 소개된 실험 환경과, 실험 결과 등을 같이 확인해 보는 시간으로, 리뷰를 마무리 짓겠습니다.

 

 강화학습의 최종적인 목표는, 주어진 문제를 해결하기 위해 agent가 최적의 가치 함수 및 정책을 학습 하는 것입니다. 이를 위해서, agent는 탐험과 이용을 적절히 배분할 필요가 있습니다. 각각의 역할과 특성은 다음과 같습니다.

    1) Agent는 탐험을 통해서, 최고의 의사선택을 내리기 위한 정보들을 모을 수 있습니다.

        (1) 탐험은 새로운 지식을 만들어 내는 것과 같습니다.

        (2) 탐험은 agent가 새로운 방법으로 생각할 수 있게 해줍니다. 

 

    2) Agent는 이용 혹은 착취를 통해서, 현재 주어진 정보들을 기반으로 최고의 의사선택을 내릴 수 있습니다.

        (1) 이용은 이미 알고 있는 지식을 사용하는 것과 같습니다.

        (2) 이용은 (탐험으로 얻은)경험을 통해 최고의 방법을 선택할 수 있게 해줍니다.

 

 이러한 탐험과 이용의 균형을 어떻게 맞출 것이냐는 강화학습에서 가장 중요한 문제 중 하나입니다. 충분한 탐험이 수행되지 않으면, local optimal 해에 빠져버리거나, 문제를 해결 할 수 없을 수 있기 때문입니다. 이를 해결하기 위해, 기존의 Q-learning 계열 알고리즘들은 epsilon - greedy algorithm을 통해 탐험과 이용의 균형을 조절하며, PG 계열 알고리즘은 entropy term을 통해 탐험과 이용의 균형을 조절해오곤 했습니다.

 

 앞서 말씀드린 충분한 탐험의 문제는, 특히 희소 보상(sparse reward) 환경에서 더욱 중요한 문제로 떠올랐습니다. 희소 보상 환경이란, 환경 자체가 non-zero reward signal을 굉장희 희소하게 제공하는 경우를 뜻합니다.

 

 이러한 환경에서, non-zero reward signal을 얻기 전까지 agent의 이용(exploitation)은 크게 의미 없는 행동이 되버리며, 결국 탐험만을 통해서 non-zero signal을 얻는 것이 필요한, 탐험이 굉장히 어려운(Hard explora tion) 문제가 되어버립니다.

 

 이 장에서 저는, 이해를 돕기 위해, 유명한 sparse reward environment의 예시를 두 가지 소개해 드리도록 하겠습니다.

 

    (1) 몬테수마의 복수(Montezuma's revenge)

 첫 번째는, ALE 환경에서 학습 가능한 몬테수마의 복수 게임입니다. sparse reward 문제로 가장 유명한 환경이며,그림의 캐릭터가 이미지만을 보고 사다리를 내려가서, 해골을 뛰어넘고, 다시 사다리를 올라가서 키를 얻어야지만 보상이 발생합니다.... 유명한 DQN, DDQN 등은 이 문제를 해결하지 못 했으며, SIL, NGU 등 탐험을 고려한 알고리즘이 나온 후에야 이 문제를 해결할 수 있었습니다.

 

    (2) FetchPush

 두 번째는, OpenAI에서 goal-based task를 학습하기 위해 제작한 gym Robotics 환경 중 하나인 FetchPush입니다. 이 환경에서 agent는 검정색의 puck을 밀어 빨간색의 공을 밀어내야 하며, reward는 말씀드린 task를 성공적으로 수행했을 때만 발생합니다. 하지만, 이 환경의 경우 reward level을 조절할 수 있으며, 사용자의 의도에 따라 dense reward를 제공하기도 합니다.

 

 (소개해 드리고자 하는 HER은 바로 이 문제를 잘 해결 하였으며, FetchPush 뿐만 아니라 gym Robotics 환경의 여러 문제를 sparse rewrad setting으로 해결해 낸  알고리즘입니다.)

 

 이러한 sparse reard 환경을 해결하기 위한 접근들은 굉장히 많지만, 이 장에서는 몇몇 개념에 대한 소개와, 몬테수마 복수를 예시로 든 설명을 드리고자 합니다.

 

    (1) Reward shaping

 먼저, 성공, 실패에 따라서만 제공되는 reward이외에도, 문제 해결에 도움이 되는 행동을 권장하는 방향으로 reward engineering(혹은 reward shaping)을 수행하는 것입니다. 이 방법의 경우, 해결하고자 하는 문제의 domain knowledge가 요구된다는 어려움이 존재합니다.

 

 이러한 접근법을 몬테수마의 복수를 예로 들어 설명드리면, 사다리를 내려갈때 (+1), 해골에게 죽었을 때(-1) 등등 으로 보상을 설계하여 환경에서 주도록 하는 것입니다.

 

    (2) Learning from demonstration

 두 번째로, 사람 혹은 기존의 제어기등으로 부터 demonstration sample을 얻은 후, 그 sample과 탐험을 통해 얻는 sample 모두로 학습을 수행하는 접근 방법이 존재합니다. 이 방법의 경우, reward shaping을 해주지 않아도 된다는 장점이 있지만, 충분한 demonstration을 얻는 과정에서 어려움이 존재할 수 있습니다.

 

 이러한 접근법을 몬테수마의 복수를 예로 들어 설명드리면, 고수인 사람이 플레이한 게임의 trajectory를 replay buffer에 저장한 뒤, 이를 학습에 직접적으로 이용하는 것입니다. (DQfD, DDPGfD 등의 알고리즘)

 

    (3) Curiosity-driven exploration

 세 번째로, 호기심 기반의 탐험을 통해 agent가 충분한 탐험을 할 수 있게 해주는 접근 방법이 있습니다. 이는 새로운 상태와 행동을 agent가 마주칠 경우, 내적 동기 보상을 발생시키는 방법으로 구현되며, 이 방법의 경우도 reward shaping을 해주지 않아도 된다는 장점이 있습니다.

 

 이러한 접근법을 몬테수마의 복수를 예로 들어 설명드리면 목표인 키를 얻기 위해, 호기심을 가지고 적극적으로, 가보지 않은 장소로 가거나, 해보지 않은 행동 들을 하는 것입니다.

 

    (4) HER

 이번 리뷰에서 다루는 HER입니다. HER에서는 agent가 goal에 도착해 non-zero reward signal을 발생시키는 것에 실패 하더라도, 실패한 trajectory로부터 pseudo reward를 발생시키는 방법 통해, agent가 결국 goal에 도착할 수 있도록 했습니다.

 

 이러한 접근법을 몬테수마의 복수를 예로 들어 설명드리면, 해골의 움직임을 점프를 통해 피하진 못 했지만, 어쨌든 해골 앞까지는 이동했다는 것을 학습하며, 이러한 시도를 반복해 숙련도를 높여가는 것입니다.

 

 (1)을 제외한 (2~4)는 사람이 학습하는 방법과 비슷한 방법이죠? 강화학습이 수치 계산적으로 발전하는 것도 멋지고, 새로운 신경망을 적용하여 발전하는것도 멋질 수 있지만, 가장 재미있다고 느껴질 때는 역시나 이런 사람의 학습 방법을 적용할 때가 아닌가 싶습니다. ^^

 

 서론이 너무 길어진 느낌이 있네요ㅠㅠ 다음 슬라이드 부터는 HER에 대해 본격적으로 다루도록 하겠습니다.

 

 그녀가 떠오르는 제목입니다.. 저만 그런게 아니겠죠?

 

 이 장에서는, HER을 잘 이해하기 위한 배경들에 대해서 먼저 말씀드리도록 하겠습니다. 

 

    (1) On policy vs Off policy algorithms

 먼저, 강화학습을 공부하다 보면 자주 마주치는 단어인 on policy, off policy의 차이 대해서 간단히 소개하겠습니다.

 

On-policy algorithm의 경우, agent가 학습에 사용할 sample을 얻는 behavioral policy와, 실제 학습이 수행되며 개선될 target policy가 같거나, 유사한 알고리즘들을 통칭합니다. 유명한 A2C, TRPO, PPO 등이 이러한 알고리즘군에 속합니다.

 

Off-policy algorithm의 경우, behavioral policy와 target policy가 같지 않아도 되는 알고리즘을 통칭합니다. 그렇기 때문에, 학습이 수행되면서 얻은 sample들을 replay buffer에 저장하여 두고두고 학습에 사용할 수 있으며, 그덕분에 sample efficiency가 on-policy algorithm에 비해 높습니다. 유명한 DQN, DDPG, SAC 등이 이러한 알고리즘군에 속합니다.

 

    (2) Universal value function approximation (UVFA)

 두 번째로, HER이 아이디어를 차용한 논문인 UVFA에 대해서 소게하겠습니다. (무려 david silver님의 논문이었습니다...)

 

UVFA에서는, 1) 하나의 agent가 여러 goal에 대해서 학습 할 수 있도록, 가치함수를 goal 별로 따로 계산 했습니다. 뿐만 아니라, goal 별로 reward function을 따로 계산하였으며, 이를 pseudo reward Rg라고 정의하였습니다.

 

또한, 2) 이를 조건부 확률 등의 개념을 차용하는 것이 아니라. 단순히 state와 goal을 concatenate한 것을 가치함수의 입력으로 넣어주는 방식을 제안했습니다. 높은 성능의 approximator(NN 등)라면, 이를 잘 분간해 낼 것이라는 기대를 가지고 실험을 수행했으며, 좋은 결과를 얻었습니다.

 

 HER은 replay buffer와 관련있는 알고리즘이다 보니 DQN, DDPG등의 off-policy algorithm에만 적용 할 수 있는 알고리즘이며, 별도의 언급은 없지만, UVFA에서 제시한 pseudo reward개념을 통해 실패한 trajectory의 achieved goal을 desired goal로 치환하여 reward signal을 발생시키는 접근법을 취하고 있습니다. 자세한 내용은 이어서 설명하도록 하겠습니다.

 

 본격적인 방법론 설명에 앞서, 저자들이 제안한 algorithm에 대해 어떤 평을 했는지에 대해 소개해드리겠습니다.

 

    (1) Goal g를 달성하지 못한 임의의 실패한 trajectory를 해당 trajectory의 종단 상태 등에 다다르는 정보를 줄 수 있는 trajectory로써 재 평가하여 학습에 이용하는, 마치 사람처럼 학습하는 컨셉을 제시

    (2) Sparse reward 환경에서 샘플 효율적인 학습이 가능한 알고리즘이라는 것을 실험을 통해 증명

    (3) 동일한 환경에서 dense reward보다 sparse reward setting에서 더 좋은 성능을 보임으로써, 복잡한 reward engineering이 필요 없을 수 있음을 보여줌

    (4) 기존의 off-policy algorithm과 결합하는 것이 매우 쉽다는 것을  강조

 

 다음 슬라이드 부터는, 이러한 평가를 내린 HER 알고리즘에 대해 본격적으로 다루도록 하겠습니다.

 

 먼저, HER의 의사 코드 입니다. 임의의 off-policy algorithm이 주어져 있다고 가정하며, 뒤이어 설명드릴 HER의 strategy S와, sparse reward function R을 정의해줍니다.

 

 이후 에피소드 별로 step을 밟는 과정에서는, 정책을 통해 행동을 고르는 과정에서, 정책의 입력으로 state가 아닌 state와 goal을 concatenate한 s||g를 활용해주고 있습니다. 이는 UVFA에서 차용한 개념으로 보입니다.

 

 그 후, 학습을 수행하기 전, replay buffer에서 transition을 sampling 하는 것과 함께, strategy S에 따라 additional goal g'을 sampling 하는 모습을 볼 수 있습니다. 이는, 문제를 관통하는 original goal g가 있긴 하지만, g에 도달하지 못한 trajectory의 경우 rg는 항상 near-zero reward일 것이기 때문에, additinal goal g'에 대해 새로 non-zero reward signal을 계산하기 위함입니다.

 

 그리하여, additional goal g'에 대해 발생한 non-zero reward signal rg'과 s||g'으로 치환된 sample을 통해 agent는 학습을 수행합니다. 이러한 과정을 통해 original goal g에 도달하는 것을 실패한 trajectory로 부터도 정책이 개선될 수 있는 것입니다.

 

 다음 슬라이드 부터는, HER에서 additional goal을 sampling할 때 사용한 strategy(전략) S 에 대해 설명드리겠습니다.

 

 HER의 저자들은, additional goal을 sampling 하는 방법에 여러가지 전략이 있을 수 있다는 것을 시인하며, 자신들이 고안한 4가지의 전략에 대해서 설명을 수행했습니다. 논문에는 너무 간단하게 설명이 되어 있어, 실제 구현된 code를 참고하여 전략별로 설명을 재구성 해보았습니다.

 

    (1) Final

 가장 직관적으로 이해가 쉬운 전략입니다. 임의의 3개(roll_out_batch)의 trajectory를 선택 후, 2개(step_batch)의 sample transition들을 학습에 사용한다고 했을 때, Final 전략 사용시 1개(replay_k)의 goal을 실제 그 trajectory의 종단 상태 s_T로 재평가합니다. 그리하여, 첫 번째 그림의 sampled state s의 경우, s||g의 g를 g_origin이 아닌 g_desired,1로 치환 했음을 알 수있으며, 이 trajectory에서 여러 개의 sample transition을 선택할 경우, non-zero reward가 발생할 수 있습니다.

 

    (2) Future

 가장 직관적으로 이해하기 어려운 전략입니다.. 선택한 trajectory의 종단 상태를 goal로 사용하는 Final 전략과 달리, 선택한 trajectory의 선택된 sampled state를 기준으로, 임의의 step time 이후 도달하는 state를 g_origin 대신 goal로써 사용합니다. 그리하여, Final의 g_desired,1과 위치를 비교해 보면 조금 더 앞쪽에 goal이 위치함을 알 수 있습니다.

 

    (3) Episode

 Future와 비슷한 전략입니다. Episode 전략의 경우, 선택한 trajectory의 선택된 sampled state의 위치와 상관없이, 그 trajectory 내부의 임의의 state를 goal로써 사용합니다.

 

    (4) Random

 말 그대로 Random 전략입니다. sample transition을 얻기 위한 trajectory와 관계 없는, 전체 훈련 과정 중에 거쳐온 state중 임의의 state를 goal로써 사용합니다.

 

 기존의 논문에 서술된 내용이 조금 부족하여, 열심히 자료를 만들어 봤지만... 이럼에도 완벽한 설명은 힘든 것 같습니다. 실제로 구현 및 사용을 원하시는 분들의 경우에는 원 저자들의 코드를 보는 것이 가장 좋을 것 같다는 생각이 듭니다. 운이 좋게도 원 저자들이 OpenAI이기 때문에, 밑의 링크인 stable baseline에 깔끔한 구현체가 존재합니다.

 

https://github.com/openai/baselines

 

openai/baselines

OpenAI Baselines: high-quality implementations of reinforcement learning algorithms - openai/baselines

github.com

 

 저자들은 이러한 goal sampling 전략에 따른 HER의 성능을 테스트하는 것을 포함하여, 여러 실험을 수행 하였으며, 다음 슬라이드부터는 실험 결과에 대해 설명 드리도록 하겠습니다.

 

 먼저, 저자들이 실험을 수행한 환경에 대해 간단히 소개해드리고 넘어가도록 하겠습니다. 저자들은, 앞서 도입부에서 설명드렸던 FetchPush을 포함하여 gym robotics의 세개의 환경을 사용했습니다. 각각의 환경에 대한 소개는 슬라이드에 기술되어 있는 문장을 참고하시면 될 것 같습니다.

 

 각각의 환경에서의 MDP formulation은 다음과 같습니다. 특이한 점은, Reward의 level을 sparse reward, shaped reward로 선택할 수 있다는 것이며, HER 사용시 strategy S 또한 선택하도록 되어 있습니다.

 

 이 장에서는, 실험 결과를 설명드리도록 하겠습니다. 저자들은 논문에서 크게 다섯 가지의 실험 결과를 제공하고 있으며, 이 장에서는 먼저 두 가지 결과에 대해 공유드리겠습니다.

 

    (1) Multi-goal 문제에 대해, HER 적용 유무에 따른 성능 비교

 하단 왼쪽의 그래프는 multi-goal 문제를 학습했을 때의 success rate를 보여줍니다. HER을 적용한 빨간색과 파란색 그래프의 경우, 모든 문제에 대해 상당한 성능을 보이고 있지만, HER이 적용되지 않은 DDPG와, count-based exploration 기법이 추가된 DDPG의 경우에는 그에 미치지 못하는 성능을 보인다는 것을 알 수 있습니다.

 

    (2) Single-goal 문제에 대해, HER 적용 유무에 따른 성능 비교

 하단 오른쪽의 그래프는 보다 간단한, single-goal 문제를 학습했을 때의 success rate를 보여줍니다. HER을 적용한 파란색 그래프의 경우, 기존의 multi-goal 문제에서 보였던 압도적인 성능을 보여주지는 못 하는 것을 알 수 있습니다. UFVA 특성 상 unseen goal에 유리하도록 설계가 되어 있는데, 그 장점이 single-goal 문제에선 퇴색됬던 것 같습니다. 하지만, pushing과 pick-and-place 문제에서는 DDPG, DDPG with count-based exploration보다 뛰어난 성능을 보인다는 것을 알 수 있었습니다.

 

 이 장에서는, 나머지 세 가지 중 두 가지의 실험 결과에 대해서 공유드릴 수 있도록 하겠습니다.

(남은 하나는, sparse reward와 dense reward setting시 sparse reward 환경에서 HER이 더 좋은 결과를 냈다는 결과입니다. 완벽한 이해가 되지 않아서, 스킵 하였으며, 궁금하신 분들은 밑의 원 저자의 논문을 참고해주시길 바랍니다.)

 

    (3) Strategy S와, additional goal의 개수인 replay_k에 따른 HER의 성능 비교

 앞서 방법론 쪽에서 설명드렸던 Strategy S와, sampling된 additional goal의 개수에 따른 성능을 세 개의 환경에서 비교한 실험입니다. 하단 왼쪽 그림이 실험의 결과 그래프 이며, 그래프의 x축은 additional goal의 개수를 의미하며, 그래프의 색과 형상에 따라 noHER과 4개의 전략을 적용한 HER들의 성능을 확인할 수 있습니다. 결론만 말씀 드리면, 4개 혹은 8개의 goal을 sampling한 future strategy가 가장 좋은 성능을 보였다고 합니다.

 

* 하지만, 이 문제의 경우, time step이 50으로 길지 않은 episode로 알고 있기 때문에, 이 replay_k의 개수는 문제별로 크게 다르지 않을까 하는 생각이 듭니다.

 

    (4) Deployment on a real world

 역시나 OpenAI의 클래스에 맞게, 저자들은 시뮬레이터를 통해 학습된 정책을 실제 로봇에 적용하는 실험을 추가적으로 수행하였습니다. 그리하여, 바로 적용한 정책의 경우에는 시뮬레이터에서 얻은 결과에 비해 낮은, 40%의 success rate를 보였다는 것과, 학습 시 observation에 noise를 부여하는 과정을 포함해 학습한 정책의 경우에는 시뮬레이터에서 얻은 결과와 동일한, 100%의 success rate를 보였다는 결과를 공유했습니다.

 

 논문을 리뷰하다 보니, 코드 분석에 꽤나 많은 시간을 소모했는데, 그 시간이 아까워서 HER도 구현해야 하나 고민이 많습니다. 어찌 되었든... 오랜만에 글을 쓰게 되었는데, 길고 긴 글을 읽어주신 독자분께 진심으로 감사를 표합니다.

 

수학적인 난이도가 높았던 논문은 아니었던 것 같아서, 쭉 읽으시면 저와 동일한 이해를 얻지 않을까 싶습니다. 하지만, 이해가 어려운 점이 있으셨다면, 댓글을 통해 질문을 주시면 성의껏 답변을 해 드리도록 하겠습니다.

 

논문의 링크와, 전체 슬라이드는 밑에 준비되어 있습니다.

 

https://arxiv.org/abs/1707.01495

 

Hindsight Experience Replay

Dealing with sparse rewards is one of the biggest challenges in Reinforcement Learning (RL). We present a novel technique called Hindsight Experience Replay which allows sample-efficient learning from rewards which are sparse and binary and therefore avoid

arxiv.org

 

01234567891011121314

 이 글에서는, 강화학습 논문 리뷰 다섯 번째 연재글에서 리뷰했던 MADDPG의 성능을 확인하기 위해, 기존의 TD3, DDPG와 비교한 결과를 공유하려 합니다.

 

 구현은 RL_Korea의 옥찬호님이 주도하시는 RL 논문 리뷰 스터디 (4기)에 참여하며 수행하였습니다. 저 뿐만 아니라, 다른 분들의 논문 리뷰 자료들까지 포함되어 있는 깃허브 주소는 다음과 같습니다.  github.com/utilForever/rl-paper-study

 

utilForever/rl-paper-study

Reinforcement Learning paper review study. Contribute to utilForever/rl-paper-study development by creating an account on GitHub.

github.com

 

그럼 본격적인 리뷰 시작하겠습니다!

 

 논문의 제목은 다시 보아도 직관적입니다. 협력적이거나, 경쟁적인 행위들이 섞여있는 혼합 환경에서의 Multi-agent actor-critic 알고리즘에 대해 다룰 것만 같은 이 느낌.. 넘어 가겠습니다!

 

 목차는 다음과 같습니다.

이번 리뷰에서는, 기존의 기법인 DDPG, TD3와 MADDPG 모두 간단한 설명만을 드린 뒤, 적용한 환경에 대한 간단한 소개를, 마지막으로 각 기법들의 시뮬레이션 결과를 공유하고자 합니다.

 

방법론입니다. 기존의 기법인 DDPG, TD3, 그리고 MADDPG에 대해 한장의 슬라이드로 슥슥 넘어가겠습니다.

 

 먼저, DDPG 입니다. DDPG의 경우, 제어 등의 continuous control problem에서 좋은 성능을 보였다고 알려져 있는 알고리즘입니다.

 

 이 알고리즘의 경우, DQN의 성공 이후 DQN의 여러 특성들을 기존의 DPG 알고리즘에 차용해서 좋은 성능을 보여주었습니다.

  1) Experience replay

     DQN에서 크게 성공을 거둔 이유 중 하나인, 경험 리플레이를 사용

  2) Delayed weight update of target network

     DQN과 같이 n step 고정시키는 방식이 아닌, first order delay를 통해 매 스텝 delayed 업데이트

  3) Deep neural network

     Actor network와 Critic network를 모두 심층 신경망으로 구성

 

 DDPG의 전신이 되는 DPG 알고리즘의 경우는 다음과 같이 이루어져 있습니다.

  1) Deterministic policy

     특정 상태에 따라, action이 확정적으로 정해지는 정책

  2) Objective function J

     theta로 파라미터화 된 정책의, theta에 따른 목적함수 J를 정의

  3) Deterministic policy gradient

     replay buffer로부터 sample을 꺼내와 업데이트 해도 수학적으로 문제가 없는, policy gradient 식을 정의

 

 다음은, TD3 입니다. TD3의 경우, DDPG가 쓰이는 여러 도메인에서 DDPG에 비해 안정적인 수렴 성능을 보여준다고 알려져 있습니다.

 

 이 알고리즘의 경우, DDPG에서 발생했던 여러 문제점 중 하나인 Q value의 overestimate 문제를 완화시킬 수 있는 여러 트릭을 사용함으로써 DDPG의 성능을 개선한 알고리즘으로 알려져 있습니다. 그 트릭들은 다음과 같습니다.

  1) Clipped double Q-learning

  2) Delayed policy update

 

 TD3의 자세한 내용은 제 블로그의 TD3 리뷰 혹은 제가 속해 있는 팀 블로그의 글을 봐주시면 감사할 것 같습니다.

https://seungeonbaek.tistory.com/14

 

Paper review of RL (4) Addressing Function Approximation Error in Actor-Critic Methods (TD3)

강화학습 논문 리뷰 연재 네번째입니다. 이번 논문 리뷰는, 기존의 DeepMind control suite, 상용 동역학 시뮬레이션 프로그램 등의 continuous control 환경에서 좋은 성과를 거둬온 DDPG(Deep Deterministic Pol..

seungeonbaek.tistory.com

https://ropiens.tistory.com/89

 

TD3 리뷰 : Addressing Function Approximation Error in Actor-Critic Methods

editor, Junyeob Baek Robotics Software Engineer /RL, Motion Planning and Control, SLAM, Vision ​- 해당 글은 기존 markdown형식으로 적어오던 리뷰 글을 블로그형식으로 다듬고 재구성한 글입니다 - ​ ori..

ropiens.tistory.com

 

 유사한 이유로, MADDPG도 이번 글에선 생략하고 넘어가도록 하겠습니다.

 

 시뮬레이션 결과 단락은, 학습이 수행될 환경, 학습 결과의 간단한 분석으로 구성하였습니다.

 

 먼저, MADDPG를 구현할 환경으로써 저는 SISL환경 내의 multi-walker를 선정하였습니다. 이 환경의 경우, n개의 bipedal walker가 위에 짊어진 꾸러미를 떨어뜨리지 않은 채로 다 같이 전진하는 것을 목적으로 하고 있습니다.

 

 이 환경의 인수들은 다음과 같습니다.

  1) walker의 대수 (default 3 대)

  2) 위치/자세의 noise 정도 (default 0.5)

  3) episode 내 max_cycle (default 500 step)

  4) rewards

     전진 시 10 점, 넘어질 시 -10 점, 꾸러미를 떨어 뜨릴시 -100점

     (-100 점이라니, 협업을 하지 않을 경우 굉장히 가혹한 페널티가 존재하는 무시무시한 환경입니다..)

 

 이 환경의 행동 / 관측 정보의 요약은 다음과 같습니다.

  1) Action: 두 다리에 존재하는 두 joint에 가해지는 외력

  2) Observation: 에이전트의 각 축 별 속도, 각, 센서 관측치, 주변 객체들의 상대 위치 .... 등등

 

 기존의 bipedal walker 문제만 하더라도, 상당히 난이도 있는 continouos control 문제인 것으로 알고 있는데, multi-agent간의 협업을 연구하기 위해 스탠포드가 우물에 독을 푼 것이 아닌가 하는 생각이 들게끔 하는 환경입니다.

 

 앞서 설명드린 환경에서의 학습 성능은 다음과 같습니다. 총 500 episode 정도 학습을 수행하였으며, 결과만 말씀드리면, MADDPG를 제외하고 두 알고리즘은 학습이 되지 않았습니다.

 

 그 이유를 저는 다음과 같이 분석하였습니다.

  1) DDPG의 경우: reward 편차가 큰 이러한 환경에서, 개별 agent만을 제어할 수 있는 알고리즘이기 때문에 학습에 어려움을 겪은 것으로 사료됩니다.

 

  2) TD3의 경우: reward 편차가 크더라도, DDPG보다 안정적인 학습이 가능한 TD3이지만, 개별 agent만을 제어할 수 있다는 한계점으로 인해, 모든 agent가 500 step 동안 가만히 있다가 끝나는 방식으로 학습이 수행 되었습니다.

 

  3) MADDPG의 경우: 모든 agent의 정보를 받아서 학습을 수행할 수 있으므로, 50 episode 이내로 pacakge를 떨어뜨리지 않는 채로 3 대의 agent가 협력하여 전진하는 것을 확인할 수 있었습니다. (reward > 0)

 

 

 사실은 더 많은 step을, 더 많은 agent에 대해 1M, 2M 만큼의 episode를 학습 시켜보면서 결과를 봐야하지만, 노트북이 울부짖는 소리에 마음이 아파 default setting을 해결하는 것 정도에서 학습을 마무리 짓고자 합니다.

 

 논문 리뷰를 하고 시간이 꽤나 지난 후에 구현 및 결과 분석 글을 쓰니 회사일이 바빴던 건지 제가 게을렀던 건지 아무튼 성찰의 시간을 가져야 할 것 같다는 생각이 듭니다. 오랜만에, 두서 없이 쓴 글이지만, 읽어 주셨다면 정말 감사합니다!!

 

 논문의 링크와, 전체 슬라이드는 생략하도록 하겠습니다.

강화학습 논문 리뷰 연재 다섯 번째입니다.

 

 TMI이긴 하지만, 요즘 혼자서 블로그에 논문 리뷰를 쓰다 보니 진도가 지지부진해지던 참에, RL_Korea의 옥찬호 님께서 RL 논문 리뷰 스터디원을 모집하는 것을 보고 참여를 하게 되었습니다. 이번 논문은 제가 4월 19일에 실제로 스터디 내에서 발표하게 될 내용을 담고 있습니다. 저뿐만 아니라, 다른 분들의 논문 리뷰 자료들까지 포함되어 있는 깃허브 주소는 다음과 같습니다. => github.com/utilForever/rl-paper-study <=

 

 이번 논문 리뷰는, 멀티 에이전트 강화 학습에서 다른 에이전트를 고려하는 것을 시작한 논문인 Multi-Agent Actor-Critic for Mixed Cooperative-Competitive Environments(이하 MADDPG)에 대한 내용으로 이루어져 있습니다. 이전에 리뷰를 진행했던 TD3와 유사하게, 이 녀석도 DDPG의 친구인 것 같습니다.

 

그럼, 본격적인 리뷰 시작하겠습니다!

 

 논문의 제목은 상당히 직관적입니다. 협력적이거나, 경쟁적인 행위들이 섞여있는 혼합 환경에서의 Multi-agent actor-critic 알고리즘에 대해 다룰 것만 같은 제목입니다. 실제 논문의 내용도 그러하긴 하지만, 알고리즘이 MADDPG로 불리는 것을 생각했을 때, DDPG 혹은 off-policy 내용이 들어가 있으면 어땠을까 하는 느낌?이 듭니다.

 

 목차는 다음과 같습니다.

가장 먼저, 도입부에서는, 강화학습이 진보해온 과정에 대해서 먼저 간단히 설명을 드린 뒤, MARL에 대한 간단한 소개를, 추가적으로 제가 MADDPG를 적용해본 환경인 pettingZoo environment에 대해서도 소개를 드리도록 하겠습니다.

 

 그 후, 본론에서는, multi-agent domain에서 기존의 기법들이 가지는 한계에 대해서 저자들이 논한 내용에 대해 소개를 드리고, MADDPG를 이해하기 위한 background와, MADDPG에 대한 본 설명을 진행하도록 하겠습니다. 마지막으로, 실험 결과를 같이 한 번 확인해보는 시간을 가지겠습니다!

 

(이미 MARL에 대한 지식이 있으신 분들과, MARL용 환경이 구성되어 있으신 분들은 도입부를 뛰어넘으셔도 됩니다.)

 

 강화학습이 풀고자 하는 문제는 sequential decision-making problem. 즉, 순차적 의사결정 문제입니다. 이러한 순차적 의사결정 문제들에서 강화학습은 굉장한 성과를 보여왔습니다. 슬라이드를 보시게 되면, 강화학습은 1992년 TD lambda 알고리즘을 이용하여 backgammon을 푼 것을 시작으로, 2016년에는 알파고가 바둑(Go) 세계 챔피언인 이세돌을 꺾는 것을 전 세계 시청자들이 보기도 하였습니다. 최근에 얻은 성과 중 괄목할만한 성과로는, 2019년 DOTA2라는 5 vs 5 multi-player game에서 Open AI의 Five가 세계 챔피언을 이기는 성과를 거둔 것이 있습니다. (스타 2도 있습니다!!)

 

 그런데, 바둑에서 DOTA2로 문제가 어려워짐에 있어서, 단순히 게임 내 경우의 수가 증가한 것뿐만 아니라, player 자체가 늘어났다는 것을 눈치채신 분이 계실 겁니다. 맞습니다..! 강화학습의 연구가 알고리즘의 개선뿐만 아니라, single agent에서 multi-agent로 나아가고 있다는 것입니다. 이어지는 장에서 multi-agent 관련 내용을 말씀드리겠습니다.

 

 multi-agent RL은 도타와 같은, multi-agent가 동작하는 공통의 혹은 공유하는 환경 내에서 multi-agent들의 순차적 의사 결정 문제를 푸는 것을 목표로 하고 있습니다.

 

 그림 (a)를 보시면, 기존의 강화학습(single-agent RL)의 경우, agent와 environment 사이 상호작용만을 고려하여, agent가 받을 보상을 최대로 하는 것을 목적으로 합니다. 그런데 (b)와 같은 multi-agent setting의 경우, k개의 agent들이 환경과 상호작용하며, 각각의 s a r s'을 주고받는 것을 볼 수 있습니다.

 

 이러한 MARL의 경우, 기존의 SARL과는 여러 면에서 다른 접근을 해서 문제를 해결해야 하며, 이번에 리뷰할 MADDPG 알고리즘이 그것과 관련된 첫 단추를 끼운 논문이라고 생각해주시면 될 것 같습니다.

 

 또한, MARL이 중요한 이유는, 실제 세상에서 해결해야 하는 많은 문제들(자율 주행 자동차, 금융, 기지국의 통신 분배?, 사회 과학 등)이 multi-agent로 구성되어 있기 때문입니다.

 

 

 이러한 multi-agent RL은 다음과 같은 세 그룹의 문제를 해결할 수 있어야 합니다.

    (1) Cooperative setting: 그림의 multi-walker와 같은 협동 게임에서, common long-term return을 최대화하는 문제

    (2) Competitive setting: 그림의 multi-player pong, boxing처럼 return의 합이 0인 게임에서, 각기 다른 전략으로 상대를 압도하는 문제

    (3) Mix of cooperative and competitive setting: 그림의 군집 전투와 같은 게임에서, 팀 agent끼리는 협동을, 적대적인 agent는 이길 수 있도록 agent를 학습시키는 문제

 

 일반적으로, MARL을 테스트할 수 있는 환경들은 이러한 세 종류의 에이전트를 학습시킬 수 있는 여러 환경들을 포함하고 있습니다. 이번에 참여한 RL 논문 리뷰 스터디가 구현까지가 목적이기 때문에, 저는 어떤 환경에서 MADDPG를 구현해야 할지 조사를 진행하였고, 관련 내용을 다음 슬라이드에서 설명드리겠습니다.

 

 이번 슬라이드에서는 제가 어떤 환경을 테스트 환경으로 골랐는지에 대해서 설명드리겠습니다. 저는 다음과 같은 특징들을 가지는, pettingZoo라고 하는 환경을 선택하였습니다.

 

 먼저, pettingZoo 환경의 경우, 입문자 및 중급자들에게 정말 익숙한, OpenAI의 Gym library와 API가 유사하다는 장점을 가지고 있습니다. pettingZoo 논문의 저자들은, 더 이상 환경마다 다른 세팅에 연구자들이 고통받을 필요가 없다는(이렇게 말하지는 않았습니다.) 문장과 함께, pettingZoo의 API를 설명했습니다.

 

 자세한 사항은, 추후 pettingZoo에 대해 리뷰를 할 때 말씀드리도록 하고, 간단히 언급만 드리면, env.reset(), env.render()등의 친숙한 method들을 포함하고 있으며, env.step()과 유사한 env.last()의 경우, 우리가 알고 있는 (obs, reward, done , info)의 tuple을 출력해 주는 것을 볼 수 있습니다. 저 또한 이 특징 때문에 이 환경을 선택하게 되었습니다.

 

 두 번째 특징으로는, pettingZoo package만 설치하여도, 기존에 연구되던 환경들을 pettingZoo API에 맞게 사용할 수 있도록 저자들이 많은 노력을 들였다는 것입니다. 덕분에 저는 이것저것 여러 환경들을 테스트해 볼 수 있었습니다.

 

돌고 돌아, 본론인 MADDPG에 대한 설명을 진행하겠습니다.

 

 먼저, 논문에 기술되어 있던, multi-agent domain에서의 기존 기법들의 한계점들에 대해 말씀드리도록 하겠습니다. 논문의 저자들은, 기존의 Q-learning 등 value-based algorithm을 multi-agent domain에 적용하는 경우, multi-agent가 존재하는 환경 자체의 non-stationarity로 인해 학습이 어렵다는 것을 지적했습니다.

 

 그 이유는, 오른쪽 그림을 통해 설명드리도록 하겠습니다. multi-agent가 존재하는 환경에서, agentA는 여타 agent인 agentB ~ agentH(웃고 지나가시면 됩니다.)가 존재하는 환경과 상호작용을 하며 sample을 쌓습니다. 그런데, 각 agent가 훈련을 통해 바뀌는 경우, agentA 입장에서는 기존에 sample을 쌓았던 환경이 변하는 것 과 같습니다.(non-stationary) 이전의 연구들은 이를 효과적으로 해결하지 못했다고 지적합니다. (이는 기존의 policy gradient-based algorithm 또한 마찬가지로 겪는 문제인 것 같습니다.)

 

 또한, policy-gradient 기반의 알고리즘의 경우 agent의 숫자가 증가할 경우, high-variance 문제가 발생한다고 서술이 되어 있었습니다. 자세한 내용이 서술되어 있지 않아 구글링을 해 본 결과, 정규열 님의 블로그에서 다음과 같은 사실을 알 수 있었습니다. (blog.naver.com/jk96491/222271152952)

    (1) PG 계열 알고리즘은 multi-agent 환경에서 학습 함에 있어서, 일반적으로 off-policy 학습이 가능한 value 계열 알고리즘에 비해 샘플 효율이 낮음

    (2) off-policy 기법을 PG 계열 알고리즘에 적용할 경우, importance sampling 등 비싼 연산이 필요

 

 이번 장에서는, 원문에도 있던, 제안된 방법론을 이해하기 위한 배경 지식에 대해 다루고 넘어가도록 하겠습니다.

Multi-agent RL의 경우, MDP를 수학적 framework로 사용하는 SARL과 달리, Markov games를 수학적 framework로써 사용하고 그 안에서 문제를 해결합니다. 이는 간단히 말해 MDP의 multi-agent로의 extension이며, 게임 이론에 그 근간을 두고 있습니다.

 

 Markov Games는 <S, A1, A2, ... AN, OT, R1, R2, ... , RN>의 tuple로 구성이 되어 있으며, MDP와 유사하면서도 조금 다릅니다.

    (1) 전체 agent의 state space S

    (2) agent별로 수행 가능한 action space Ai

    (3) agent별로 관측 가능한 observation space O

    (4) Transition function T

    (5) 각 agent 별로 받을 수 있는 reward Ri

 

 또한, 이 논문은 DDPG의 multi-agent extension의 느낌이므로, deterministic policy(확정적 정책)와 deterministic policy gradient 등도 본격적인 방법론 설명 이전에 설명을 하고 있습니다. 확정적 정책의 경우, 확률적(stochastic) 정책과 달리, mu라는 notation으로 표현하며, 상태 변수 값이 정해질 경우 행동 변수의 값이 확정적으로 정해지는 정책을 의미합니다.

 

 또한, log probability가 포함되어 있던 확률적 정책의 정책 기울기 값과 달리, 확정적 정책 기울기는 수학적으로 조금 더 단순하게 표현되고, off-policy learning을 단순 적용함에 있어 수학적으로 문제가 없게 됩니다. MADDPG는 이러한 기존의 DPG, DDPG의 개념을 차용하였습니다.

 

 본격적인 방법론에 대한 설명에 앞서, 저자들이 자신들이 제안한 algorithm에 대해 어떤 평을 했는지에 대해 소개해드리겠습니다.

    (1) 제안된 multi-agent algorithm은 학습 시에는 global한 정보를 이용해 학습하며, 실행(action 추론) 시에는 local한 정보만을 이용함

    (2) 몇몇 이전 연구와 달리 multi-agent environment의 dynamics를 학습하려는 시도를 수행하지 않음

    (3) agent가 global한 정보를 이용해 학습할 시 문제가 되는 '통신'이슈에 대해 특정한 가정을 첨가하지 않음

    (4) 제안하는 알고리즘의 경우, 협력적인 행위, 경쟁적인 행위, 혼합 행위 모두 학습이 가능한 알고리즘이며, 저자들 자신이 general multi-agent learning algorithm이라고 평함

 

 다음 슬라이드부터는 이러한 평가를 내린, MADDPG 알고리즘에 대해 본격적으로 다루도록 하겠습니다.

 

 MADDPG가 기존의 RL method와 가장 큰 차이를 가지는 점은 바로, centralized training with decentralized execution(CTDE) 컨셉입니다. 이는, 학습 시에는 다른 agent의 observation을 포함하여 더욱 많은 정보를 통해 학습 하고, action 추론시에는 local information만으로 추론을 하겠다는 컨셉입니다.

 

 이러한 컨셉을 가져가게 될 경우, 각 agent가 상호작용하는 환경의 dynamics인 P가 MDP에서의 P(si' | si, ai)가 아닌, Markov games의 T(s' | s, a1, ... , ai, ..., aN)임을 의미하며, 확정적 정책에 따라, T안에 정책이 포함되어도 문제가 없습니다. 이는, policy changing에 따른 non-stationary 문제가 다소 완화될 수 있음을 의미합니다.

 

 오른쪽 하단의 그림을 보시게 되면, training 시에는 각 agent의 Q_1, ... Q_N이 모든 observation을 사용하여 학습되고, agent i는 Q_i 값을 pi_i 값을 update에 사용하지만, 실제로 action을 추론하는 pi_i는 local information만을 이용하는 구조임을 알 수 있습니다.

 

 이러한 컨셉을 적용할 경우 Critic target, loss와 Deterministic policy gradient는 슬라이드에 도시되어 있습니다.

 

 또한, 저자들은 이전 슬라이드의 핵심 개념과 더불어, MADDPG를 실제 문제에 적용함에 있어 생길 수 있는 여러 문제들에 대한 고민도 추가로 수행하였습니다.

 

 그중 첫 번째 문제는 다음과 같습니다. MADDPG의 경우, centralized Q를 학습하기 위해 사용되는 target Q(y_i)식에서, 다른 agent의 정책을 필요로 하게 되는 문제가 있습니다. 실제 세상에선 이를 항상 알 수는 없기에, 저자들은 다른 agent들의 정책을 approximation하여 target Q 계산 시 사용할 수 있는 방안에 대해서 설명합니다.

 

 그 방법은, agent i가 agent j의 true policy를 parameter phi를 이용해 근사하는 것이며, phi에 따른 approximate policy of agent j의 loss식 또한 슬라이드에 도시된 식으로써 제안하였습니다. loss 식은 일반적인 policy gradient 식으로 되어 있으며, entropy regularizer term이 추가되어 있는 것을 볼 수 있습니다.

 

 저자들은, 이와 같이 추론된 policy를 target Q 계산 시 사용할 수 있으며, target Q 계산 이전, 그러니까 centralized Q function의 업데이트 이전에 approximate policy 업데이트를 수행하는 방법을 통해, 다른 agent의 정책을 모르는 상태에서도 제안한 알고리즘의 활용을 가능케 하였습니다.

 

 두 번째로, 저자들은 경쟁적인 행위를 학습함에 있어, 상대의 현재 전략(정책의 뉘앙스)을 이기기 위해 나의 전략이 매몰되지 않도록(오버 피팅의 뉘앙스), agent별로 K개의 sub-policy를 두어, 이를 ensemble하여 사용할 수 있도록 하는 트릭을 제안하였습니다.

 

 이는 DeepMind의 Alpha star에서 league training을 하는 것과 유사한 컨셉을 조금 더 낮은 레벨에서 구현한 것 같다는 느낌이 들었습니다. (league training은 agent 자체를 여러 개 두어 학습을 수행하는 컨셉)

 

 이러한 두 가지의 추가적인 고민에 대한 실험도 실험 결과에 포함되어 있으며, 다음 슬라이드부터는 실험 결과에 대해 설명 드리도록 하겠습니다.

 

 먼저, 저자들이 실험을 수행한 환경에 대해 간단히 소개해드리고 넘어가도록 하겠습니다. 저자들은 multi-agent particle environment라고 하는 환경에서 실험을 수행하였습니다. 저자들은 이 환경 내의 여러 게임들에 대해 학습을 수행하였는데, 그중 그림이 포함되어 있는 4개의 환경에 대해 간단한 소개가 슬라이드에 기술되어 있습니다.

 

 Physical deception은 해석은 하였으나 지면이 부족하여 생략... 이 장에서는 각 게임이 협동 게임인지, 경쟁 게임인지만 보시고 넘어가면 될 것 같습니다.

 

 이 장에서는, 실험 결과를 설명드리도록 하겠습니다. 저자들은 논문에서 크게 3가지 실험 결과를 제공하고 있습니다. 각각은 다음과 같습니다.

 

    (1) MARL 기법인 MADDPG와 SARL 기법인 TRPO, DDPG 등 기존의 기법들의 비교

 하단 가장 왼쪽의 그래프는 cooperative communication(cooperative setting)문제를 학습했을 때의 success rate를 보여줍니다. 기존 SARL 기법은 25000 episode를 학습하는 동안 좋은 결과를 보이지 못하지만, MADDPG의 경우 압도적으로 좋은 결과를 보인다는 것을 알 수 있습니다.

 

    (2) approximate policy 사용 유무에 따른 성능 차이 분석

 하단 중앙의 두 번째 그래프(Figure 7 - (a))는 다른 agent의 정책을 완벽히 아는 경우(파란색)와 그렇지 못한 경우(빨간색) MADDPG의 success rate 성능을 보여줍니다. 그래프를 보면 알 수 있듯, approximate policy 사용 시에 성능 하락이 거의 일어나지 않음을 알 수 있습니다.

 

 하단 중앙의 세 번째 그래프(Figure 7 - (b))는 실제 agent의 정책과 approximate policy 사이 차이를 KL-divergence를 이용하여 보여주고 있습니다. 빨간색(listener)과 파란색(speaker)의 차이는 존재하지만, true policy와 approximate policy가 점점 가까워진다는 것을 이 그래프를 통해 보여주고 있습니다.

 

    (3) Policy ensemble 적용 유무에 따른 효과 분석

 하단 가장 우측의 그래프는, 경쟁적 행위에서 policy ensemble 사용 시 효과를 비교하는 그래프입니다. agent와 적대적 agent에 대해 ensemble policy 사용 유무에 따라 4가지 case를 실험한 결과, agent가 ensemble policy를 사용하고, adversary가 single policy를 사용할 때 normalized score가 가장 높았음을 지적하며, ensemble policy의 효과를 보여주고 있습니다. 

 

*현재 MADDPG는 구현이 완료 되었으며, 며칠 안으로 대조군인 DDPG 등을 테스트 한 후 결과도 올릴 수 있도록 하겠습니다.

 

오랜만에 글을 쓰게 되었는데, 길고 긴 이 글 읽어주신 분이 계시다면 정말 감사드립니다.

최근 리뷰했던 논문들 중 난이도가 가장 높았기에, 어려운 점이 있으시면 댓글로 질문 부탁드립니다.

 

논문의 링크와, 전체 슬라이드는 밑에 준비되어 있습니다.

 

arxiv.org/abs/1706.02275

 

Multi-Agent Actor-Critic for Mixed Cooperative-Competitive Environments

We explore deep reinforcement learning methods for multi-agent domains. We begin by analyzing the difficulty of traditional algorithms in the multi-agent case: Q-learning is challenged by an inherent non-stationarity of the environment, while policy gradie

arxiv.org

 

01234567891011121314

 

강화학습 논문 리뷰 연재 네번째입니다.

 

이번 논문 리뷰는, 기존의 DeepMind control suite, 상용 동역학 시뮬레이션 프로그램 등의 continuous control 환경에서 좋은 성과를 거둬온 DDPG(Deep Deterministic Policy gradient) 알고리즘을 한단계 진보시킨, TD3(Twin Delayed DDPG)라고 하는 off-policy actor-critic algorithm에 대한 내용을 포함하고 있습니다.

 

작년과 재작년, 연구실에서 차량의 Adaptive Cruise Control과 관련된 연구를 수행할 때, DDPG를 성공적으로 활용한 논문이 여럿 있는 것을 보고 놀랐던 기억이 있는데, TD3의 경우, 이러한 DDPG에서 발생한 문제를 해결한 알고리즘이라고 하니, 제어 문제에 굉장히 좋은 성능을 낼 수 있는 알고리즘이 아닐까 하는 생각이 듭니다.

 

그럼, 본격적인 리뷰 시작하겠습니다!

 

 

논문의 제목은 직관적이지는 않습니다. "Actor-Critic Methods 에서 발생하는 function approximation error를 다스리기"이지요.

제목이 크게 와닿지는 않지만, 이어지는 내용을 읽으면, 저자들의 의도를 충분히 느낄 수 있는 제목이였던 것 같습니다.

 

목차는 다음과 같습니다.

가장 먼저, TD3가 포함된, Open AI의 model RL algorithm 분류표를 보며 TD3와 TD3의 전신인 DDPG가 어떤 알고리즘으로 분류되는지 먼저 설명 드리고, DDPG 꼭지에서 핵심 개념인 deterministic policy와 DDPG에 대해 간단히 설명드리겠습니다.

 

그후, 본론에서는 TD3가 어떠한 이유로 출현하게 되었는지 설명드리기 위해 기존의 DDPG에서 발생한 문제에 대한 설명 드리고, TD3가 어떤 방법으로 이러한 문제를 해결하였는지, 그리고 어떤 환경에 적용하여 TD3의 성능을 검증하였는지에 대해 설명을 드리는 것으로 자료를 준비했습니다.

 

OpenAI spinningup 사이트를 들어가보면, openAI에서 baseline으로써 제공하는 유명한 알고리즘들 몇몇과 함께, moden RL algorithm을 자체적으로 분류한 사진을 다음과 같이 확인할 수 있습니다.

 

DDPG와 TD3의 경우, 그림에서 볼 수 있듯이 model-free RL 알고리즘으로 분류할 수 있으며, 세부 계열로는 policy optimization과 Q-learning 계열의 중간 단계로 분류되어 있다는 것을 확인할 수 있습니다.

 

Policy optimization 계열(PG계열) 알고리즘 중 유명한 A2C/A3C, PPO, TRPO와 DDPG, TD3가 다른 카테고리로 분류가되는 이유는 이 알고리즘들은 policy gradient 계산시 Q-value가 아닌 Advantage function을 활용하고, DDPG와 TD3는 'deterministic policy gradient'계산시 Q-value가 활용되기 때문입니다.

 

이후의 page에서 DDPG와 TD3에 대한 설명을 이어나가겠습니다.

 

먼저, DDPG입니다.

 

DDPG에 대한 본격적인 설명 이전에, deterministic policy와 stochastic policy에 대해 먼저 다루도록 하겠습니다. deterministic policy란, 특정한 state에 대해 action이 확정적으로 정해지는 정책을 뜻합니다. deterministic policy의 경우, 기존에 정책에 사용하던 notation인 pi가 아닌 mu를 notation으로 사용합니다.

 

Stochastic policy의 경우, 기존에 강화학습 알고리즘들이 다루던 정책이라고 보면 되며, 특정한 state에 대해 action이 확률적으로 정해지는 정책을 뜻합니다. 기존의 PG계열 알고리즘은 이 stochastic policy를 정책으로써 활용하며, 이러한 policy 종류에 따라서, 비단 action을 뽑는 방법 뿐만 아니라 policy gradient 계산식도 달라지는데 이 식은 뒤 슬라이드에서 확인하실 수 있습니다.

 

이 장에서 추가적으로 알고 넘어가야할 지식은, 상식적으로 생각할 수 있는 사실과는 다르게도 제어, planning등과 같은continuous control problem문제에서 stochastic policy 기반 알고리즘에 비해 deterministic policy 기반의 알고리즘이 성공적인 성과를 이뤄왔다는 것입니다. (주로 DDPG알고리즘과 LSTM등의 RNN 네트워크를 활용하여 많은 성공을 얻어왔습니다.)

 

그에 대해 논문에서 제공하는 지식과 더불어, 제가 분석한 이유는 다음과 같습니다.

1) continuous control problem의 경우, 필연적으로 high dimensional action space를 가지게 되는데, 이러한 환경에서 stochastic policy에 비해 deterministic policy mu(s)를 활용할 경우, 비교적으로 탐색할 공간이 적어지고, 그에 따라 빠른 수렴이 일어난다는 것입니다.

 

2) 또한, stochastic policy를 사용하는 PG 계열의 여타 알고리즘과는 달리, off policy 학습이 가능하다는 장점이 있기 때문에, 많은 sample들을 replay memory에 담아서 학습을 할 수 있다는 장점이 있기 때문입니다. 물론, PPO, A3C등의 알고리즘들의 경우, V-trace를 이용한 semi-off policy 학습이 가능하지만, 이에는 컨셉과 수식의 태생적인 한계가 존재합니다. 

 

3) 기존의 stochastic policy를 사용하는 PG 계열의 여타 알고리즘의 경우 탐험을 종용하는데 있어서 entropy term을 이용하게 되는데, DDPG와 TD3의 경우, 이러한 복잡하고 튜닝이 어려운 방법을 사용할 필요 없이, action에 미리 정의된 의사 noise를 사용할 수 있다는 것에서 큰 장점을 가진다고 생각합니다.

 

이어서 2장에 걸쳐 DDPG에 대한 간단한 설명을 진행하겠습니다.

 

DDPG의 경우, Actor-Critic algorithm과 DQN algorithm의 특징을 모두 담고 있는 알고리즘입니다. 그리하여, 슬라이드 하단 주석된 논문에서 참고한 DDPG arcthitecture를 보시게 되면,

1) Actor network와 Critic network를 통해 각각 Q와 action을 예측하는 것을 확인할 수 있으며,

2) DQN 계열에서 사용한 experience replay memory를 사용하는 것을 확인할 수 있습니다.

3) 또한, 학습된 Q-value를 policy gradient 계산시 직접적으로 사용한다는 것을 확인할 수 있습니다.

 

추가적으로, 그림에 표현은 되어있지 않지만,

4) 안정적인 update를 위해 target network update시 main network의 weight을 정확히 전달해 주는것이 아니라, delay를 주어 update 시켜준다는 것을 알 수 있습니다.

5) 마지막으로, 미리 정의된 의사 noise를 사용합니다.

 

이장에서는 OpenAI에서 제공하는 DDPG의 pseudo code를 확인할 수 있습니다. 12, 13 line에서 Q-value가 업데이트 되며, 14 line을 통해 deterministic policy gradient를 예측된 Q-value를 이용해 계산한다는 것을 알 수 있습니다.

 

또한,  target network의 weight update시 미리 정의된 rho값을 이용해 지연을 가한다는 것을 알 수 있습니다.

 

이어서, 본론인 TD3에 대한 설명을 진행하겠습니다.

 

TD3는 다음과 같은 DDPG의 문제점으로 인해 출현했습니다.

1) DDPG는 성능을 내기 위해서, hyperparameter 및 여러 종류의 parameter들의 튜닝 과정을 거쳐야하는 민감한 알고리즘이라고 TD3의 저자들은 얘기하고 있습니다.

 

2) 그 이유는, DDPG에서 deterministic policy gradient (policy loss)계산 시 Q-value가 직접적으로 사용되는데, 이러한 Q-value가 vanilla DQN에서 사용한 main, target Q-network만으로 학습함에 있어서 overestimate와 같은 문제들이 발생했다는 것입니다. 이부분은 Advantage function을 policy loss 계산시 사용하는 여타 PG계열 알고리즘에 비해 자주 발생하는 문제였다고 합니다.

 

이러한 문제를 해결하기 위해 TD3 알고리즘이 제안되었으며, 이때 DQN에서 이문제를 해결하기 위해 적용한 방식들에서 영감을 얻은 것 같습니다.

 

이 장부터는 TD3에 대한 설명을 진행하도록 하겠습니다.

 

밑의 주석의 논문에서 참고한 TD3 arthictecture를 통해 설명을 드리도록 하겠습니다. TD3의 경우, 몇가지 trick을 통해 DDPG에서 치명적인 Q-value overestimate 문제를 잠재웠습니다.

 

1) 먼저, vanilla Q-learning에 비해 안정적인 학습을 한다는 것이 증명된 Double Q-learning컨셉을 활용하였습니다. DDQN과는 사뭇 다르게 사용되었으며, target network update시 더 작은 값의 Q-value를 학습에 활용하는 방법을 통해 overestimate를 방지하려고 노력하였습니다.

 

2) 또한, critic과 actor entwork를 번갈아 업데이트 하던 DDPG와 달리, policy update를 critic network update보다 더욱 적은 빈도로 업데이트 하여, 안정된 Q-value를 policy loss 계산시 사용할 수 있도록 하였습니다.

 

이 두가지 방법을 통해 DDPG에 비해 hyperparameter에 둔감한 알고리즘을 설계하였으며, 제가 test 해본 결과, MDP parameter인 distcount rate gamma와, weight delay parameter인 tau를 제외하면 batch size, neural network의 hyperparameter등을 수정하여도, 정책이 강건하게 수렴한다는 것을 확인할 수 있었습니다.

 

OpenAI에서 제공하는 TD3의 psudo code에서는 이러한 과정들이 어떻게 적용되었는지 확인할 수 있습니다. 이 pseudo code에서 아쉬운점은 더 작은 Q-value를 policy gradient 계산시 사용한다는 것이 명시적으로 드러나지 않았다는 것이지만, 그래도 보기좋게, 깔끔하게 서술이 되어 있어 사용하게 되었습니다.

 

이 장에서는, TD3의 저자들이 TD3를 MuJoCo physice engine에서 다른 PG 계열 SOTA 알고리즘과 비교한 그래프 및 표를 보여드리겠습니다. 저자들은 여러 scenario를 학습 시켰으며, 그중 HalfCheetah, Hopper, Walker, Ant의 그래프를 ppt에 도시해 두었습니다.

 

결과를 비교해보면,

1) TD3가 다른 PG계열 알고리즘에 비해 월등한 수렴성능을 보여준다는 것과,

2) 수렴한 average return의 값이 다른 알고리즘들에 비해 굉장히 높다는 것을 알 수 있습니다.

 

물론, ppt에 도시하지 않은 reacher, inverted pendulum, inverted double pendulum의 경우에도 미미하지만 더 높은 성능을 보여준다는 것을 밑에 도시한 표와, 원문에서 확인하실 수 있습니다.

 

이번에도 긴 글을 읽어주신 점 감사드립니다.

 

논문의 링크와, 전체 슬라이드는 밑에 준비되어 있습니다.

 

https://arxiv.org/pdf/1802.09477.pdf

 

0123456789101112

 7장 강화학습 심화 3: 아타리는 류재언 학생이 스터디를 리딩하였습니다. 밑의 자료는 류재언 학생이 직접 공부하고 제작한 발표자료 입니다.

 

***주의***

1) 책에서 설명을 위해 사용한 그림을 발표 당시에 설명을 위해 촬영하였으며, 블로그에 업로드하는 과정에서 저작권 문제가 발생할 수 있음을 고려하여, 그림은 가린 상태로 업로드 하게 되었습니다.

2) 책에서 사용한 코드의 경우, Github를 통해 이미 공유가 되어있기 때문에, 문제가 되지 않으리라고 생각하여 그대로 올리게 되었습니다. 문제가 생길 경우, 삭제 혹은 수정을 하도록 하겠습니다.

 

파이썬과 케라스로 배우는 강화학습 교재 내 코드는 github.com/rlcode/reinforcement-learning-kr 에 모두 존재합니다.

 

 제가 대학생일때보다 지금의 제 후배들이 더욱 잘하고 열심히 하는 것 같아 비록 학번 차이는 얼마 안나지만, 선배로서 굉장히 뿌듯했습니다.

 

+ Recent posts